Free Access

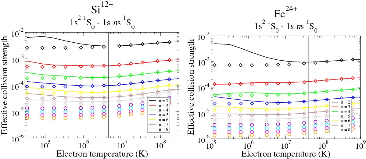
Fig. 5

image

Electron-impact excitation effective collision strengths for the Born transition 1s21S0 − 1sns 1S0 of the ions Si12 + and Fe24 +. Curved line: R-matrix; : distorted wave calculation basis n = 1 − 8; °: distorted wave calculation basis n = 8 − 12; vertical line: peak abundance temperature for electron collisional plasmas (Mazzotta et al. 1998).

This figure is made of several images, please see below:

Current usage metrics show cumulative count of Article Views (full-text article views including HTML views, PDF and ePub downloads, according to the available data) and Abstracts Views on Vision4Press platform.

Data correspond to usage on the plateform after 2015. The current usage metrics is available 48-96 hours after online publication and is updated daily on week days.

Initial download of the metrics may take a while.