Free Access

Fig. 6

image

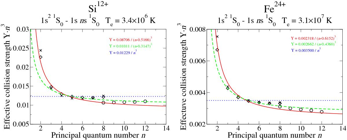
Electron-impact excitation effective collision strengths n3) for the Born transition 1s21S0 − 1sns 1S0 of the ions Si12 + and Fe24 + versus the principal quantum number n around peak abundance temperature. ×: R-matrix results; : distorted wave results with basis set n = 1 − 8; °: distorted wave results with basis set n = 8 − 12; solid line: least-squares fit using points n = 2 − 5; dashed line: extrapolation using the last two points; dotted line: extrapolation using the last point; see text.

This figure is made of several images, please see below:

Current usage metrics show cumulative count of Article Views (full-text article views including HTML views, PDF and ePub downloads, according to the available data) and Abstracts Views on Vision4Press platform.

Data correspond to usage on the plateform after 2015. The current usage metrics is available 48-96 hours after online publication and is updated daily on week days.

Initial download of the metrics may take a while.