Free Access

Fig. 7

image

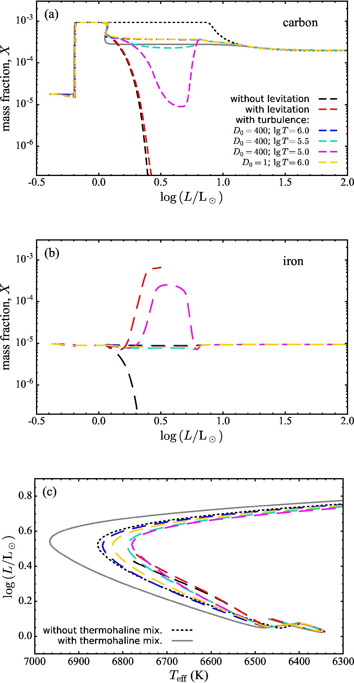
Effect of turbulence on the evolution of a) carbon and b) iron mass fractions, and c) the HRD of a 0.75 M star accreting 0.1 M of material from a 1 M primary. Large abundance variations are expected after accretion in absence of turbulence (black and red dashes). Inclusion of turbulence as in Eq. (7)erases all abundance signatures of atomic diffusion on the post-mass-transfer main sequence (dark blue), even for small turbulent diffusion coefficients (orange). Only when the temperature parameter is reduced to log T0 ≲ 5.5 do the abundance variations start to reappear (light blue and magenta). The thermohaline-mixing-only model (solid grey) is hotter than the models with turbulence, because in the latter diffusion still modifies the layers with TT0, and thermohaline mixing is not as deep. For clarity, the HRD only shows the post-mass-transfer part of the evolutionary tracks.

This figure is made of several images, please see below:

Current usage metrics show cumulative count of Article Views (full-text article views including HTML views, PDF and ePub downloads, according to the available data) and Abstracts Views on Vision4Press platform.

Data correspond to usage on the plateform after 2015. The current usage metrics is available 48-96 hours after online publication and is updated daily on week days.

Initial download of the metrics may take a while.