Free Access

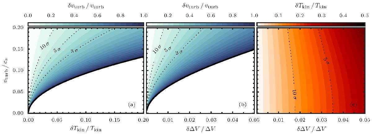
Fig. 8

image

Limitations in determining vturb and Tkin from the two direct methods. Panels a) and b) show the relative error in vturb for a given (vturb/cs) as a function of the temperature a) and line width b) corresponding to the direct method with a known excitation temperature and the co-spatial method, respectively. Panel c) shows the relative error in Tkin from the co-spatial method as a function of relative error in line width. The left panel does not take into account errors in the line width. The dashed contour lines show 10, 5, and 3σ limits.

Current usage metrics show cumulative count of Article Views (full-text article views including HTML views, PDF and ePub downloads, according to the available data) and Abstracts Views on Vision4Press platform.

Data correspond to usage on the plateform after 2015. The current usage metrics is available 48-96 hours after online publication and is updated daily on week days.

Initial download of the metrics may take a while.