Free Access

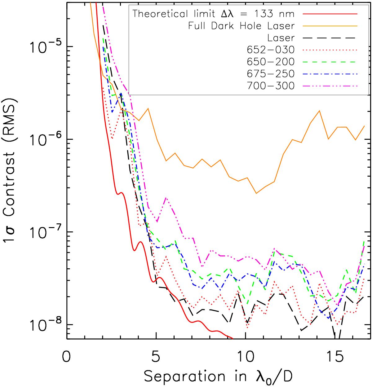
Fig. 15

image

Contrast curves associated with the laboratory images obtained with a laser source, the 30 nm bandwidth, and the very large bandwidths described in Table 1. The experimental performance reached when applying phase-only correction in laser light is overplotted in a cyan dashed curve. The solid red line represents the theoretical limitation derived from numerical simulations with no amplitude aberrations.

Current usage metrics show cumulative count of Article Views (full-text article views including HTML views, PDF and ePub downloads, according to the available data) and Abstracts Views on Vision4Press platform.

Data correspond to usage on the plateform after 2015. The current usage metrics is available 48-96 hours after online publication and is updated daily on week days.

Initial download of the metrics may take a while.