Free Access

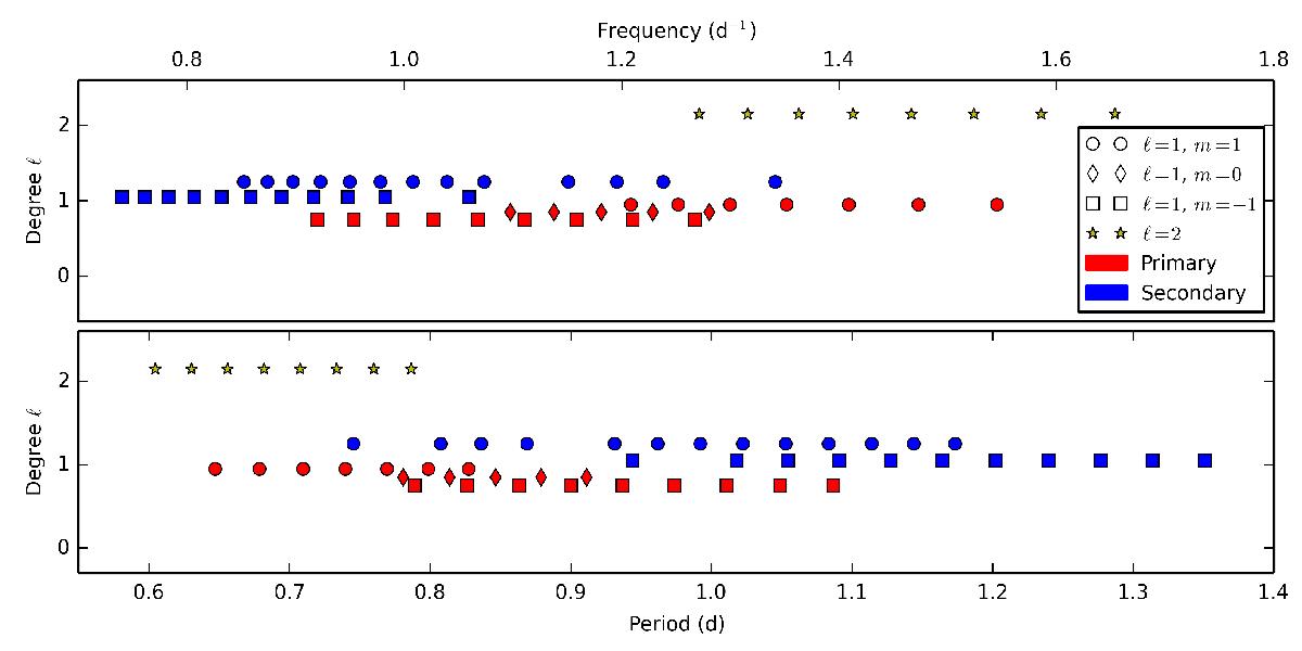
Fig. 1

image

Observed g-modes in frequency (top) and period (bottom) as a function of degree are shown for the primary in red and the secondary in blue. The m values are distinguished by the different symbols. The yellow stars denote the = 2 modes, which could not be assigned to either component.

Current usage metrics show cumulative count of Article Views (full-text article views including HTML views, PDF and ePub downloads, according to the available data) and Abstracts Views on Vision4Press platform.

Data correspond to usage on the plateform after 2015. The current usage metrics is available 48-96 hours after online publication and is updated daily on week days.

Initial download of the metrics may take a while.