Free Access

Fig. 3

image

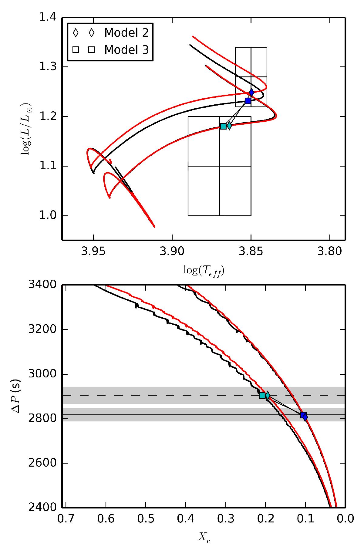
Top panel: HRD with the observed positions and 1σ areas of both components of KIC 10080943, marked by the boxes (the primary is the cooler, more luminous star). The positions of the components in Model 2 are given by the diamonds and for Model 3 by the squares, while the respective evolutionary tracks are given by the red and black solid lines. Dark blue symbols mark the primary, while the light blue symbols indicate the secondary models. Parameters of these models are given in Table 3. Lower panel: asymptotic period spacing ΔP as a function of central hydrogen mass fraction Xc. The observed mean period spacing of the primary (secondary) is given as the horizontal solid (dashed) line and the 1σ areas are shown as the grey patch.

Current usage metrics show cumulative count of Article Views (full-text article views including HTML views, PDF and ePub downloads, according to the available data) and Abstracts Views on Vision4Press platform.

Data correspond to usage on the plateform after 2015. The current usage metrics is available 48-96 hours after online publication and is updated daily on week days.

Initial download of the metrics may take a while.