Free Access

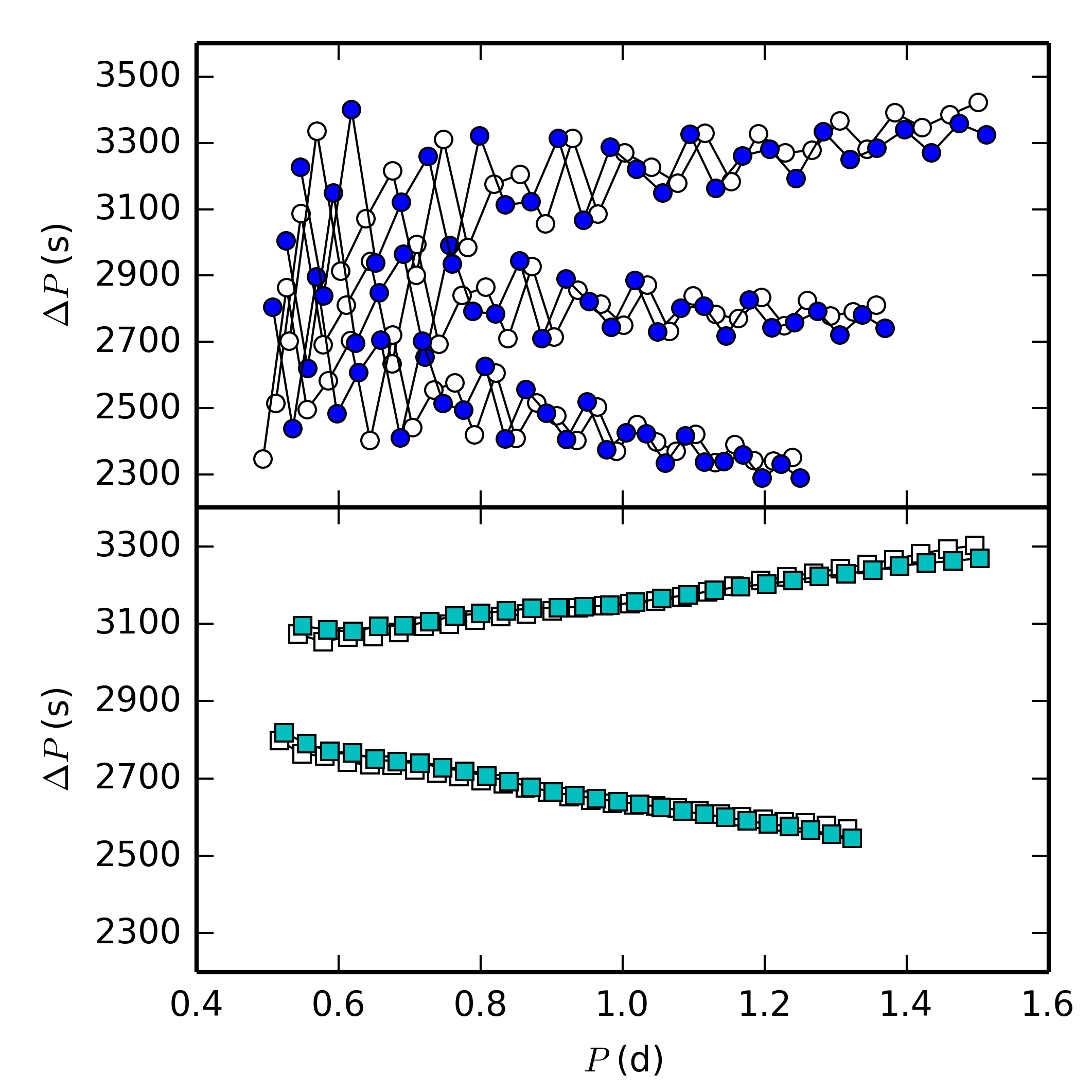
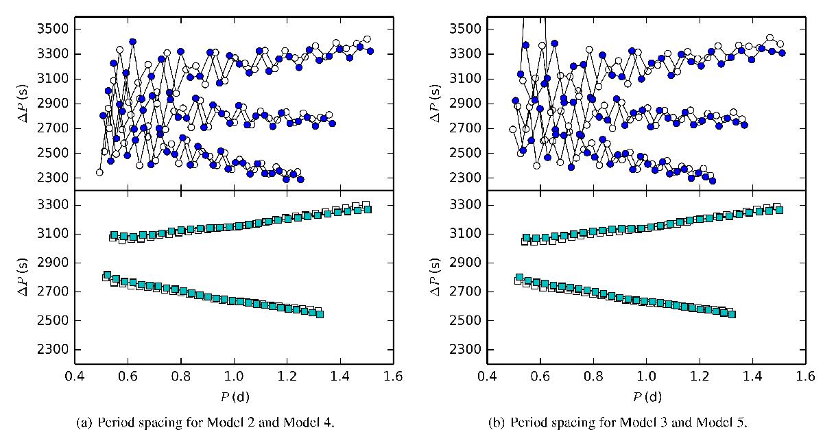
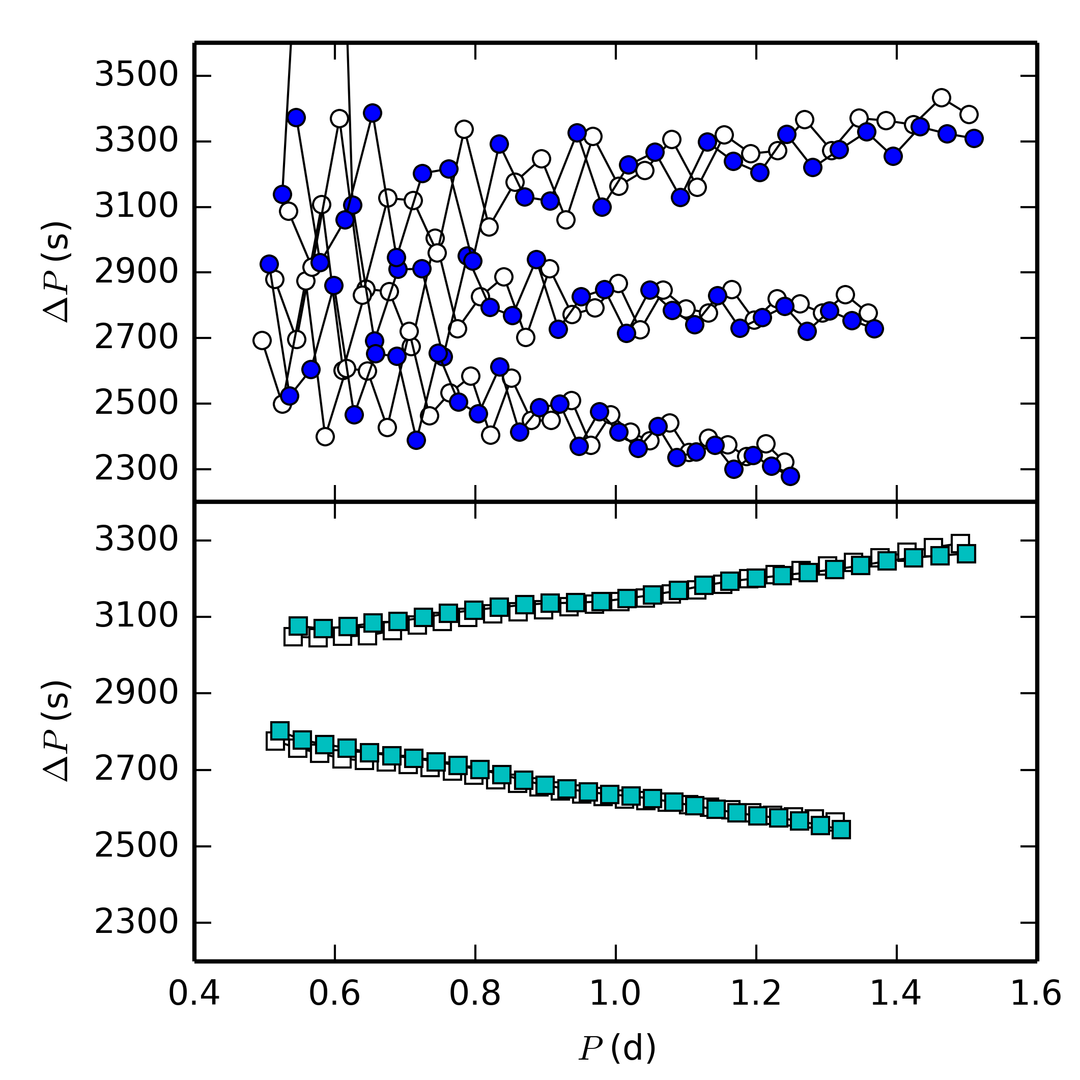
Fig. 8

image

Difference between first-order perturbation approximation and TAR for the rotation rates Ωc,1 = 0.13963 d-1 and Ωc,2 = 0.09034 d-1. GYRE zonal modes with a Ledoux shift applied are shown as the empty symbols and GYRE modes calculated using the TAR are shown as the filled symbols, where the primary is in dark blue and the secondary in light blue.

This figure is made of several images, please see below:

Current usage metrics show cumulative count of Article Views (full-text article views including HTML views, PDF and ePub downloads, according to the available data) and Abstracts Views on Vision4Press platform.

Data correspond to usage on the plateform after 2015. The current usage metrics is available 48-96 hours after online publication and is updated daily on week days.

Initial download of the metrics may take a while.