Free Access

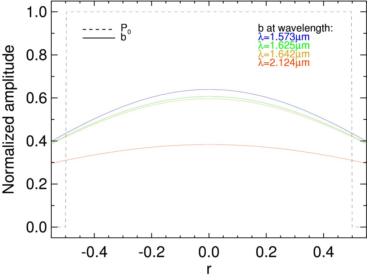
Fig. 2

image

Radial profile of the amplitude b diffracted by a mask of size 1.076 λ0/D and phase shift θ = 0.440πλ0/λ at the central wavelength of the filters that are used during our tests with SPHERE. The dashed line defines the entrance pupil function P0.

Current usage metrics show cumulative count of Article Views (full-text article views including HTML views, PDF and ePub downloads, according to the available data) and Abstracts Views on Vision4Press platform.

Data correspond to usage on the plateform after 2015. The current usage metrics is available 48-96 hours after online publication and is updated daily on week days.

Initial download of the metrics may take a while.