Free Access

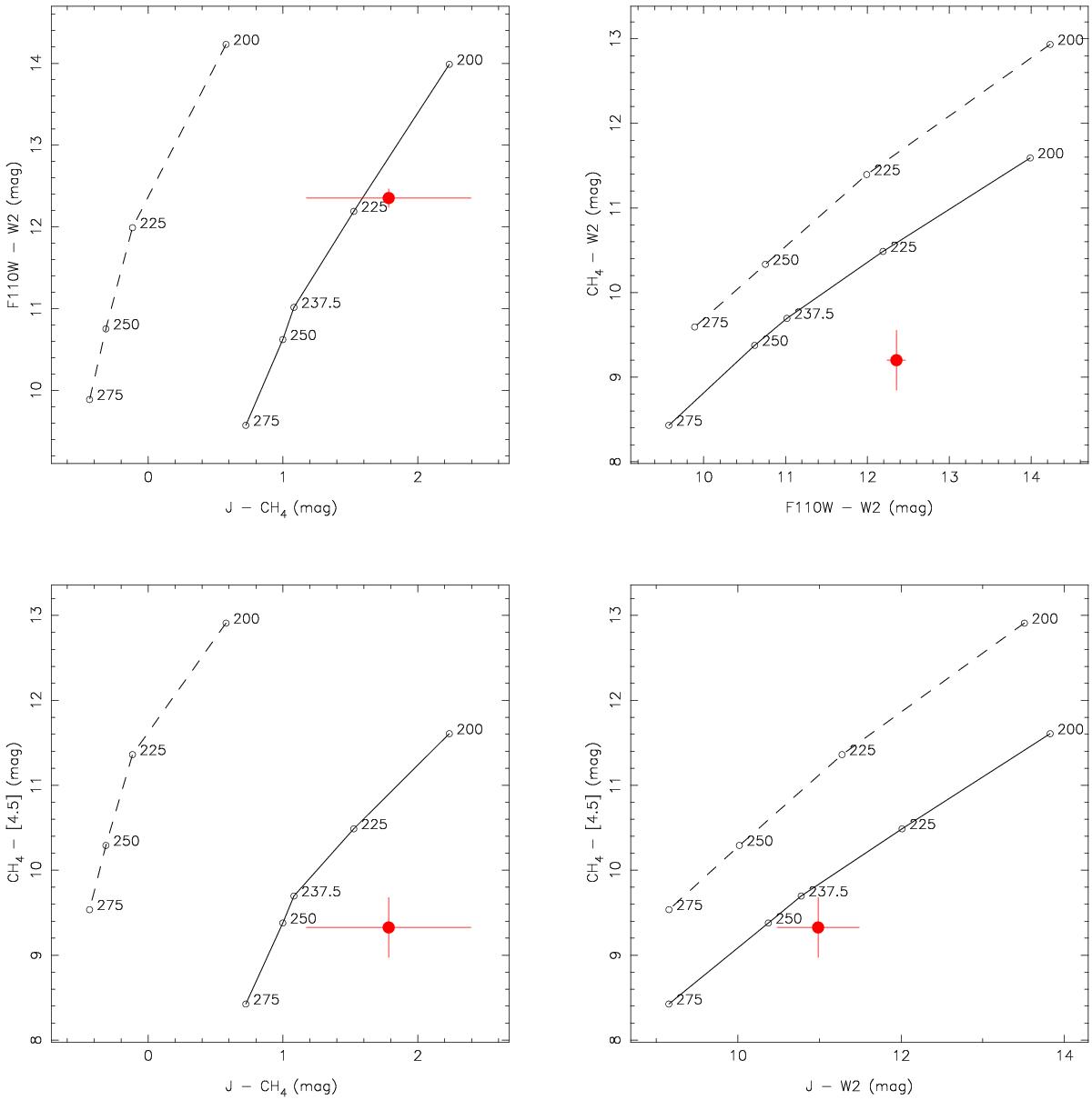
Fig. 3

image

Color–color diagrams of J0855–0714 (red dot) including the synthetic indices (open circles) computed from the Morley et al. (2014) theoretical spectra. The high-gravity colors (log g = 5.0 cm s-2) are joined by a solid line, and the dashed line stands for the low gravity indices (log g = 4.0 cm s-2). All synthetic colors are labeled with their corresponding Teff (K). (CH4 stands for the CH4-off filter.)

Current usage metrics show cumulative count of Article Views (full-text article views including HTML views, PDF and ePub downloads, according to the available data) and Abstracts Views on Vision4Press platform.

Data correspond to usage on the plateform after 2015. The current usage metrics is available 48-96 hours after online publication and is updated daily on week days.

Initial download of the metrics may take a while.