Free Access

Fig. 3

image

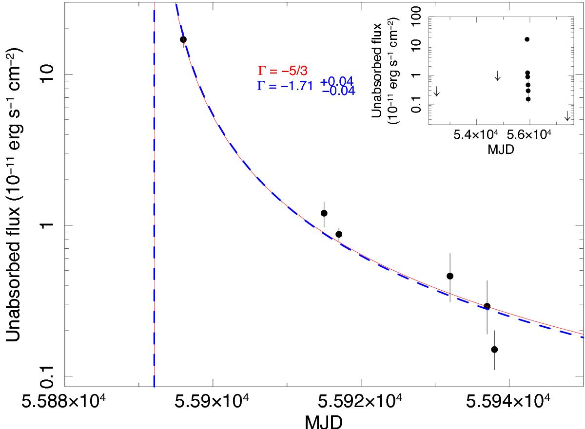
XMMSL1J063045 X-ray flux light curve fitted with a − 5/3 power law (red solid line; , nhp = 4.2%), as for tidal disruption events, and with a free power law (blue dashed line; , nhp = 2.2%), which gives a decay index of − 1.71 ± 0.4, fully in agreement with − 5/3. The right top panel also includes the upper limits on flux.

Current usage metrics show cumulative count of Article Views (full-text article views including HTML views, PDF and ePub downloads, according to the available data) and Abstracts Views on Vision4Press platform.

Data correspond to usage on the plateform after 2015. The current usage metrics is available 48-96 hours after online publication and is updated daily on week days.

Initial download of the metrics may take a while.