Free Access

Fig. 2

image

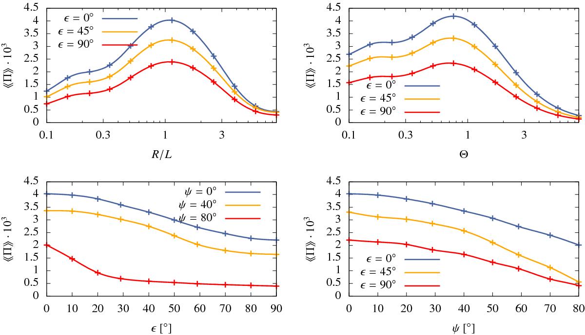
TYORP as a function of relevant parameters. The upper two panels show ⟨ ⟨ Π ⟩ ⟩ for Θ = 1 and different R/L (upper left panel) or R/L = 1 and different Θ (upper right panel), for latitude ψ = 0° in all cases, and for three different values of obliquity ϵ. The lower two panels show ⟨ ⟨ Π ⟩ ⟩ for different values of ϵ and ψ, while both Θ and R/L are set to 1.

Current usage metrics show cumulative count of Article Views (full-text article views including HTML views, PDF and ePub downloads, according to the available data) and Abstracts Views on Vision4Press platform.

Data correspond to usage on the plateform after 2015. The current usage metrics is available 48-96 hours after online publication and is updated daily on week days.

Initial download of the metrics may take a while.