Free Access

Fig. 2

image

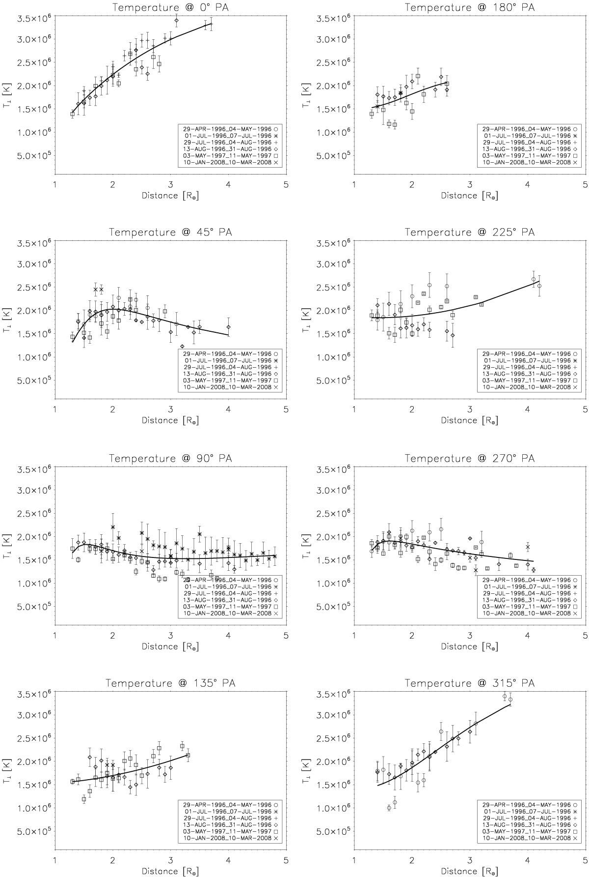
Measurements of H i temperature perpendicular to the magnetic field lines as a function of the heliocentric distance, obtained by analysing observations carried out during the minimum phase of the solar activity cycle. Plots show the results at the different angular sectors separated by 45 degrees counterclockwise from the solar north pole ( PA). The solid black lines represent the fits of the data, according to the functional form given by Eq. (1).

This figure is made of several images, please see below:

Current usage metrics show cumulative count of Article Views (full-text article views including HTML views, PDF and ePub downloads, according to the available data) and Abstracts Views on Vision4Press platform.

Data correspond to usage on the plateform after 2015. The current usage metrics is available 48-96 hours after online publication and is updated daily on week days.

Initial download of the metrics may take a while.