Free Access

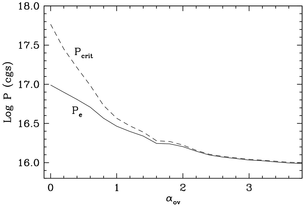
Fig. A.2

image

Pressure on a logarithmic scale at the bottom of the envelope (solid line), compared with the critical pressure Pcrit given by equation A.6 (dashed line), as a function of the overshooting parameter αov. The models are the same as those in Fig. A.1.

Current usage metrics show cumulative count of Article Views (full-text article views including HTML views, PDF and ePub downloads, according to the available data) and Abstracts Views on Vision4Press platform.

Data correspond to usage on the plateform after 2015. The current usage metrics is available 48-96 hours after online publication and is updated daily on week days.

Initial download of the metrics may take a while.