Free Access

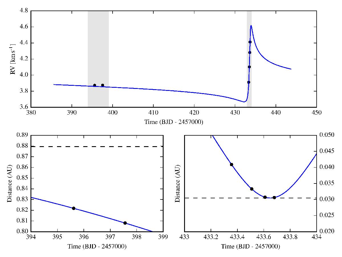
Fig. 1

image

RV and orbital distance of HD 80606 b for the six data points acquired, overplotted on the orbit derived from the parameters and ephemerides of Hébrard et al. (2010). The upper plot shows the variation in RV as a function of baricentric Julian date, and the lower plots represent the orbital distance of the companion when close to apastron (left) and periastron (right). The dashed lines represent the apastron and periastron distance, for visual reference.

Current usage metrics show cumulative count of Article Views (full-text article views including HTML views, PDF and ePub downloads, according to the available data) and Abstracts Views on Vision4Press platform.

Data correspond to usage on the plateform after 2015. The current usage metrics is available 48-96 hours after online publication and is updated daily on week days.

Initial download of the metrics may take a while.