Free Access

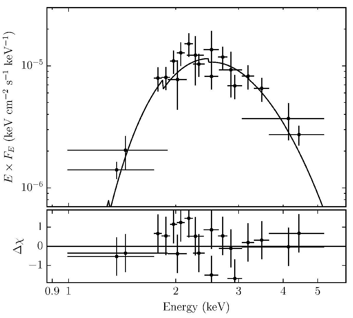
Fig. 2

image

Unfolded Chandra/ACIS spectra of the central point source CXOU J181852.0150213 obtained in the 2005 and 2015 observations fitted with an absorbed blackbody model.

Current usage metrics show cumulative count of Article Views (full-text article views including HTML views, PDF and ePub downloads, according to the available data) and Abstracts Views on Vision4Press platform.

Data correspond to usage on the plateform after 2015. The current usage metrics is available 48-96 hours after online publication and is updated daily on week days.

Initial download of the metrics may take a while.