Free Access
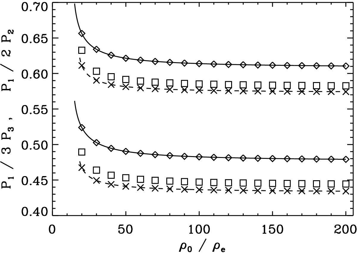
Fig. 7

Period ratios P1/ 2P2 and P1/ 3P3 as a function of the density contrast ρ0/ρe for p = 1 (diamonds), p = 2 (squares) and a step function density profile (crosses). The solid and dashed lines represent the analytical solutions for the Epstein and step function density profiles, respectively.
Current usage metrics show cumulative count of Article Views (full-text article views including HTML views, PDF and ePub downloads, according to the available data) and Abstracts Views on Vision4Press platform.
Data correspond to usage on the plateform after 2015. The current usage metrics is available 48-96 hours after online publication and is updated daily on week days.
Initial download of the metrics may take a while.