Free Access
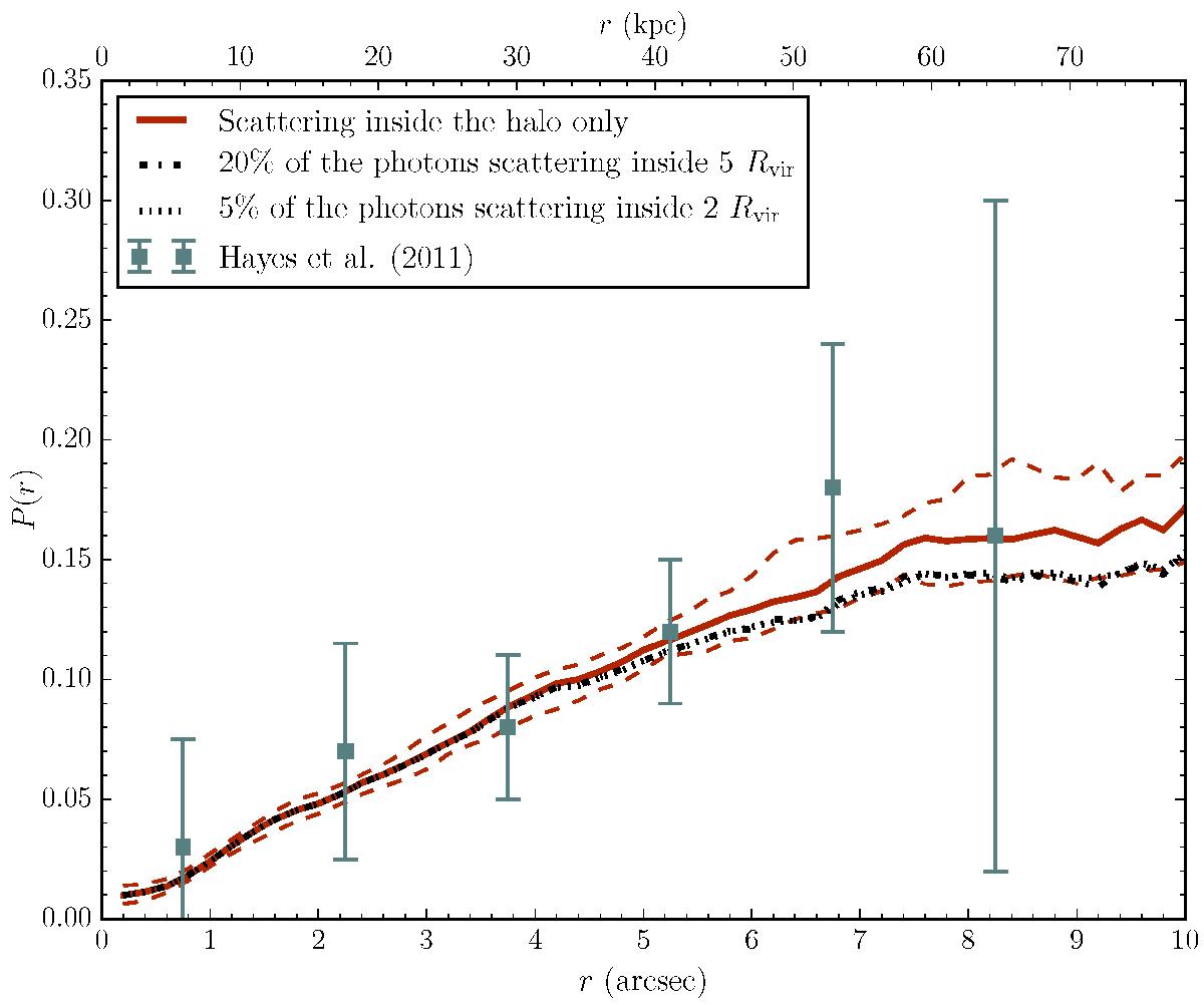
Fig. D.2

Effect of the IGM on the polarization profile. We show the polarization profile resulting from the redistribution of all the scattered photons in a sphere of 5 Rvir as a dash-dotted line and the one resulting from the redistribution of all the photons reaching 5 Rvir in a smaller sphere of 2 Rvir as a dotted line.
Current usage metrics show cumulative count of Article Views (full-text article views including HTML views, PDF and ePub downloads, according to the available data) and Abstracts Views on Vision4Press platform.
Data correspond to usage on the plateform after 2015. The current usage metrics is available 48-96 hours after online publication and is updated daily on week days.
Initial download of the metrics may take a while.