Free Access
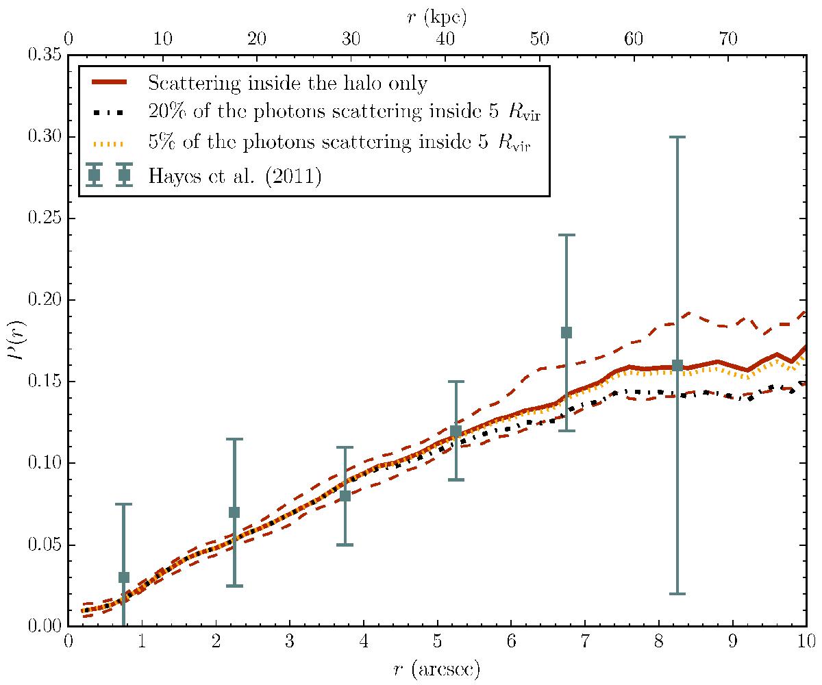
Fig. 9

Effect of the IGM on the polarization profile. Compared to the profile right outside of the halo (solid red line), scattering in the IGM (dash-dotted and dotted black lines) reduces slightly the degree of polarization at large radii, but not much (if we redistribute the photons in a large enough area).
Current usage metrics show cumulative count of Article Views (full-text article views including HTML views, PDF and ePub downloads, according to the available data) and Abstracts Views on Vision4Press platform.
Data correspond to usage on the plateform after 2015. The current usage metrics is available 48-96 hours after online publication and is updated daily on week days.
Initial download of the metrics may take a while.