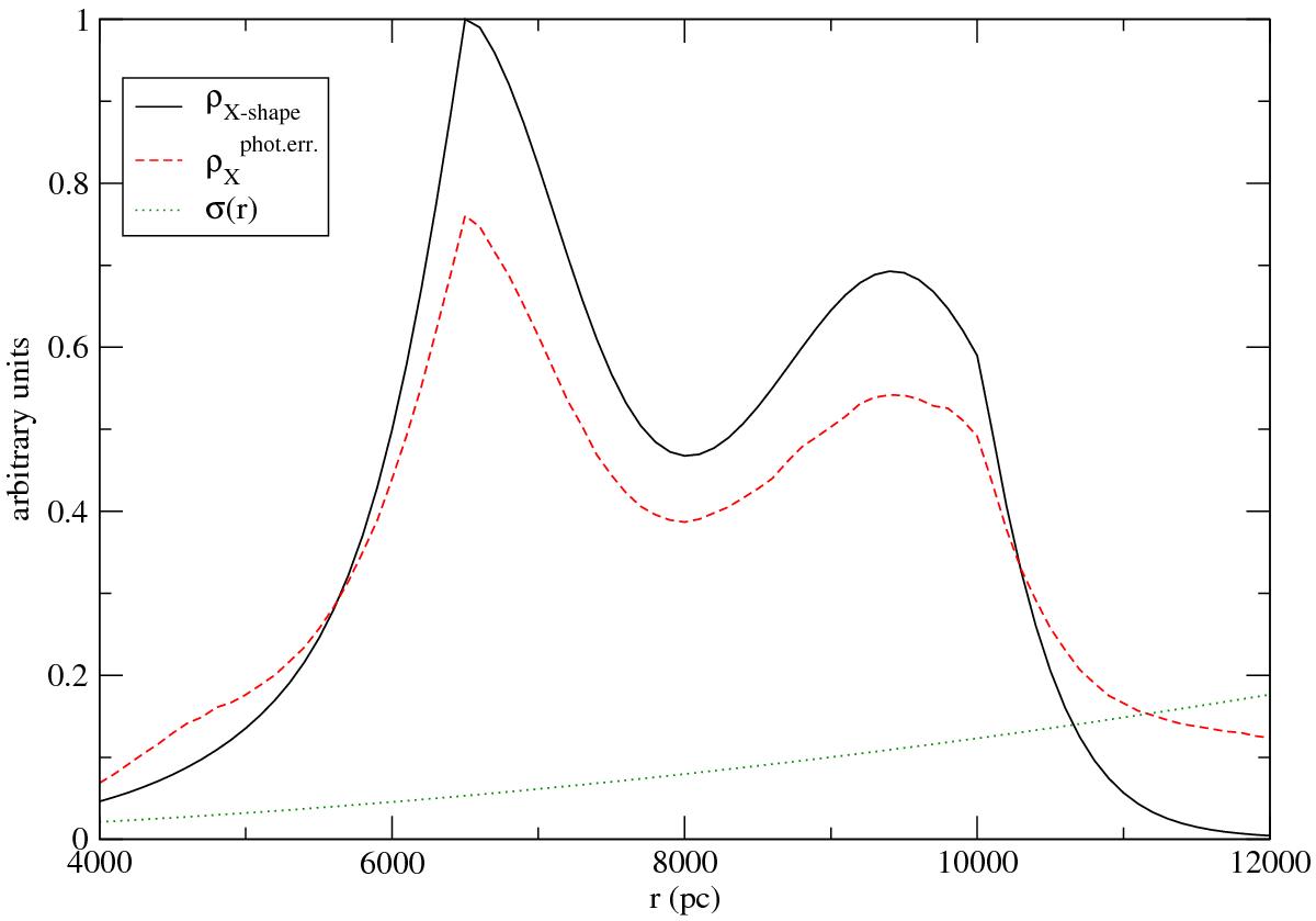
Fig. 3

Example of the effect of the errors in the photometry in a density distribution as given by Eq. (5). The example of ρX−shape is taken from the predictions of the X-shape bulge of Eq. (9) at ℓ = −5.2°, b = −7.5°. The rms σ(r) is the average of errors of H magnitudes (extinction corrected) in this VISTA-VVV fields for stars in the field with the corresponding apparent magnitude of distance r and absolute magnitude MH = 2.40.
Current usage metrics show cumulative count of Article Views (full-text article views including HTML views, PDF and ePub downloads, according to the available data) and Abstracts Views on Vision4Press platform.
Data correspond to usage on the plateform after 2015. The current usage metrics is available 48-96 hours after online publication and is updated daily on week days.
Initial download of the metrics may take a while.