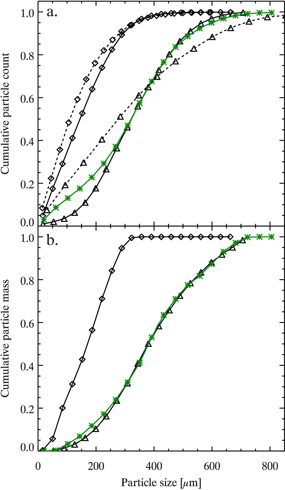
Fig. 4

Size and mass distributions of the aggregate samples used in this study. a) Normalized cumulative number of aggregates with a size smaller than the size indicated on the x-axis. b) Normalized cumulative mass of aggregates smaller than the size indicated on the x-axis for the three different SiO2 aggregates used in the SPACE experiment. Black diamonds denote aggregates sieved between 100 and 250 μm and composed of monodisperse dust particles. Black triangles denote aggregates sieved between 250 and 500 μm and composed of monodisperse dust particles. Green asterisks denote aggregates sieved between 250 and 500 μm and composed of polydisperse dust. Dashed lines denote aggregate sizes measured during the experiment run on the rocket.
Current usage metrics show cumulative count of Article Views (full-text article views including HTML views, PDF and ePub downloads, according to the available data) and Abstracts Views on Vision4Press platform.
Data correspond to usage on the plateform after 2015. The current usage metrics is available 48-96 hours after online publication and is updated daily on week days.
Initial download of the metrics may take a while.