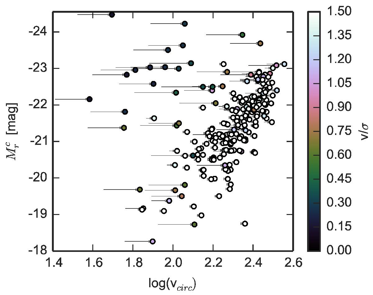
Fig. 11

Magnitude of the circular velocity correction shown as arrows. The points are the final circular velocity values, colour-coded for the vopt/σ factor. The galaxy with the lowest log (vcirc) value, a slow rotator, is not shown for clarity. This galaxy, NGC 6515 (log (vcirc) = 1.05), was excluded from further analysis during the outlier rejection procedure described in Sect. 5.2.
Current usage metrics show cumulative count of Article Views (full-text article views including HTML views, PDF and ePub downloads, according to the available data) and Abstracts Views on Vision4Press platform.
Data correspond to usage on the plateform after 2015. The current usage metrics is available 48-96 hours after online publication and is updated daily on week days.
Initial download of the metrics may take a while.