Free Access
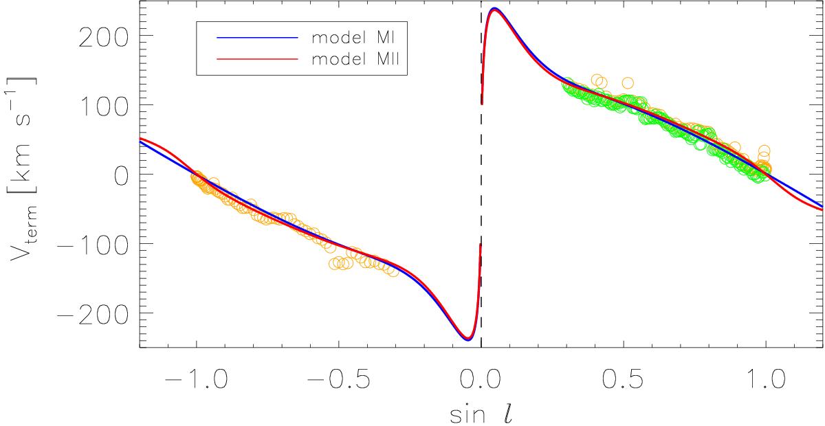
Fig. 6

Tangent-point data from Clemens (1985; green circles) and Fich et al.1989; orange circles). The tangent velocity curves resultant from model MI (blue curve) and model MII (red curve) are also plotted.
Current usage metrics show cumulative count of Article Views (full-text article views including HTML views, PDF and ePub downloads, according to the available data) and Abstracts Views on Vision4Press platform.
Data correspond to usage on the plateform after 2015. The current usage metrics is available 48-96 hours after online publication and is updated daily on week days.
Initial download of the metrics may take a while.