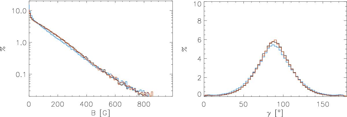
Fig. 6

Results of 2D inversions applied to simulations; effect of used PSF: histograms of magnetic field strength (left) and inclination (right) at log τ = 0 for Sim 2 when different PSFs are used in 2D inversions. Black line represents the distributions when the same PSF is used to smear and retrieve the parameters. Blue and red lines show what happens when PSF used by 2D inversions assumes too little or too much of the defocus, respectively. Bin sizes are 10 G and 3°.
Current usage metrics show cumulative count of Article Views (full-text article views including HTML views, PDF and ePub downloads, according to the available data) and Abstracts Views on Vision4Press platform.
Data correspond to usage on the plateform after 2015. The current usage metrics is available 48-96 hours after online publication and is updated daily on week days.
Initial download of the metrics may take a while.