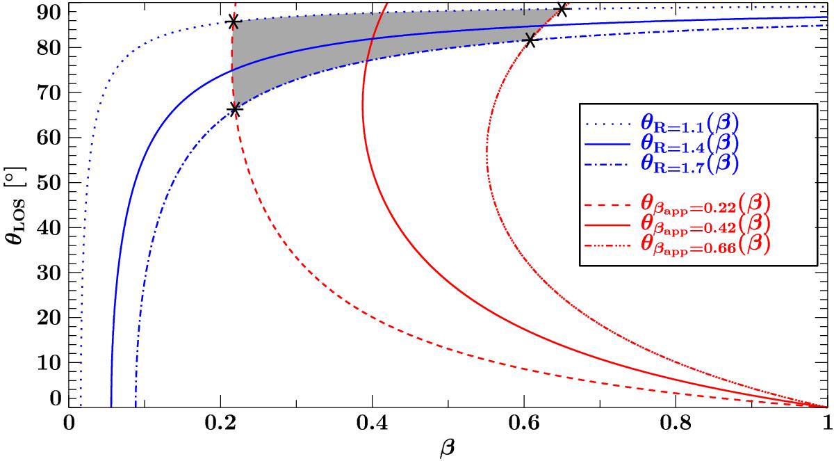
Fig. 5

Angle of the jet to the line of sight θLOS depending on the jet velocity β constrained by the jet-to-counter jet ratio Eq. (1)) measured at 86 GHz (blue) and the apparent jet velocities (Eq. (2)) at 43 GHz, giving the mean, minimum, and maximum value (red). The allowed parameter space for θLOS and β is highlighted by the gray-shaded region.
Current usage metrics show cumulative count of Article Views (full-text article views including HTML views, PDF and ePub downloads, according to the available data) and Abstracts Views on Vision4Press platform.
Data correspond to usage on the plateform after 2015. The current usage metrics is available 48-96 hours after online publication and is updated daily on week days.
Initial download of the metrics may take a while.