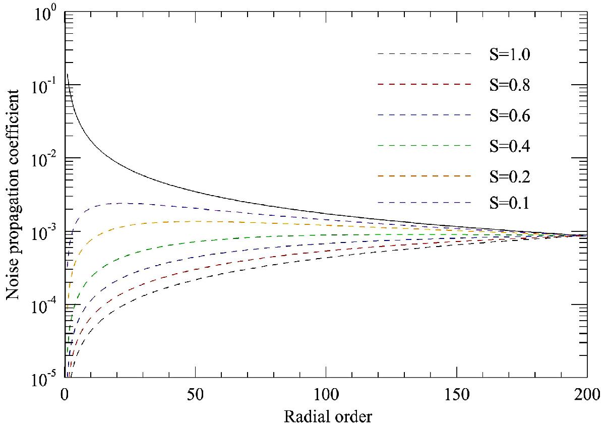
Fig. 5

Solid line: noise propagation coefficients vs. the radial order q for the SH-WFS case; dashed lines: the same for the P-WFS case. Colors represent the effect of different SR achieved on the pyramid pin in closed loop. The x-axis maximum limit represents the D/r0 parameter for the selected case (E-ELT-like telescope in r0 = 0.2 m conditions).
Current usage metrics show cumulative count of Article Views (full-text article views including HTML views, PDF and ePub downloads, according to the available data) and Abstracts Views on Vision4Press platform.
Data correspond to usage on the plateform after 2015. The current usage metrics is available 48-96 hours after online publication and is updated daily on week days.
Initial download of the metrics may take a while.