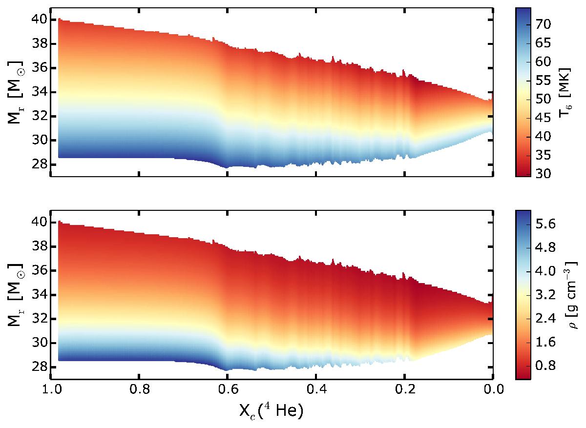
Fig. 2

Mr as a function of Xc(4He), the central mass fraction of 4He for a rotating 60 M⊙ model at a metallicity Z = 10-5 (similar to a Kippenhahn diagram). Shown in color is the temperature T6 in MK (upper panel) and the density ρ in g cm-3 (lower panel) in the convective hydrogen burning shell during the core helium burning phase from Xc(4He) = 0.98 to Xc(4He) = 0.
Current usage metrics show cumulative count of Article Views (full-text article views including HTML views, PDF and ePub downloads, according to the available data) and Abstracts Views on Vision4Press platform.
Data correspond to usage on the plateform after 2015. The current usage metrics is available 48-96 hours after online publication and is updated daily on week days.
Initial download of the metrics may take a while.