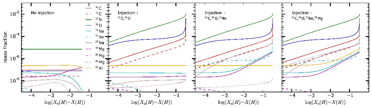
Fig. 3

Abundances in the H-box as a function of the logarithm of X0(H) − X(H). The four panels (from left to right) correspond to the four considered cases: when no injection is made; when 12C and 16O are injected; when 12C, 16O, and 22Ne are injected; and when 12C, 16O, 22Ne, and 26Mg are injected. Density and temperature in the box are ρ = 1 g cm-3 and T6 = 50 MK.
Current usage metrics show cumulative count of Article Views (full-text article views including HTML views, PDF and ePub downloads, according to the available data) and Abstracts Views on Vision4Press platform.
Data correspond to usage on the plateform after 2015. The current usage metrics is available 48-96 hours after online publication and is updated daily on week days.
Initial download of the metrics may take a while.