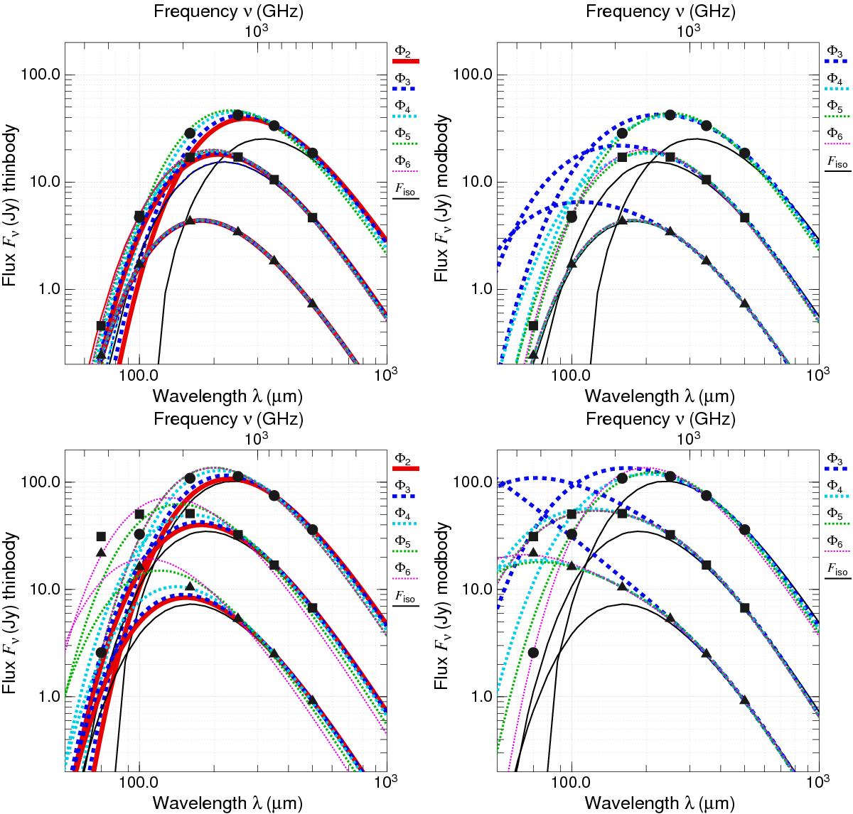
Fig. 5

Fluxes of the isolated starless cores (upper) and protostellar envelopes (lower) fitted with the thinbody (left) and modbody (right) models. The fluxes for the 0.03, 0.3, and 3 M⊙ cores and envelopes (with L⋆ = 1 L⊙) from Fig. 4 are shown as black triangles, squares, and circles, respectively. Successful fits (Sect. 3.4) using different subsets Φn of fluxes are indicated by the solid and dashed lines of different widths and colors. The thin black curves show the flux distributions for the isothermal models where the actual model temperatures (Fig. 3) were replaced with their mass-averaged values: Td(r) = TM (16.3,13.2,9.2 K for starless cores and 18.1,15.6,12.3 K for protostellar envelopes).
Current usage metrics show cumulative count of Article Views (full-text article views including HTML views, PDF and ePub downloads, according to the available data) and Abstracts Views on Vision4Press platform.
Data correspond to usage on the plateform after 2015. The current usage metrics is available 48-96 hours after online publication and is updated daily on week days.
Initial download of the metrics may take a while.