Free Access
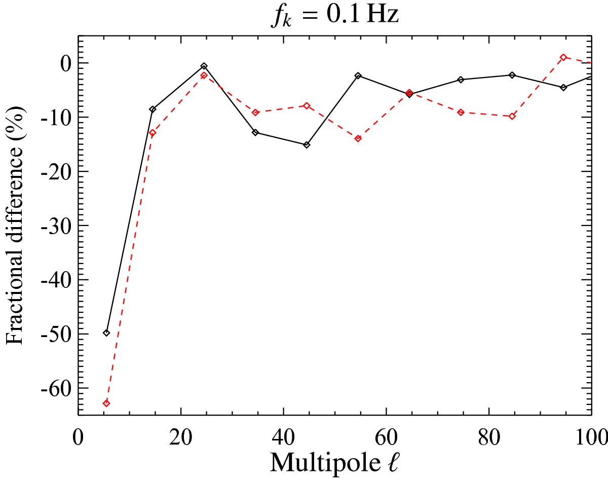
Fig. 4

Fractional difference of the BB power spectra error bars from LSPE-SWIPE simulations estimated considering and neglecting the bolometer noise cross-correlation of case 1 (in dashed red line) and case 2 (in solid black line) for a knee frequency fk =0.1 Hz.
Current usage metrics show cumulative count of Article Views (full-text article views including HTML views, PDF and ePub downloads, according to the available data) and Abstracts Views on Vision4Press platform.
Data correspond to usage on the plateform after 2015. The current usage metrics is available 48-96 hours after online publication and is updated daily on week days.
Initial download of the metrics may take a while.