Free Access
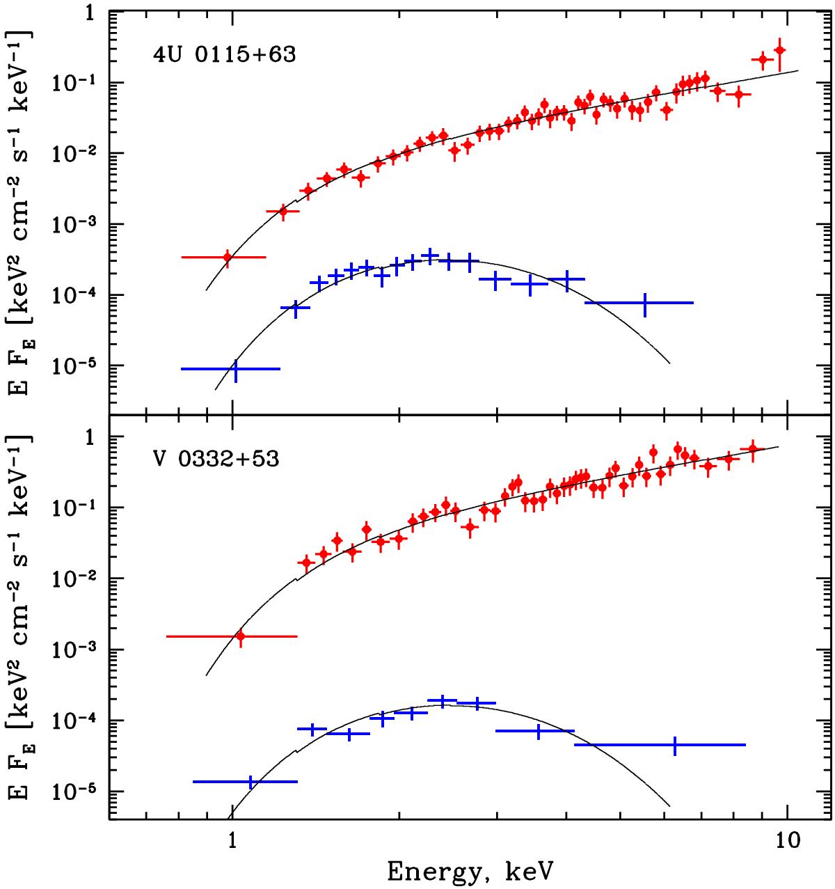
Fig. 3

Swift/XRT spectra of 4U 0115+63 and V 0332+53 in accretion (red dots) and propeller (blue crosses) regimes. Solid lines represent the best-fit models consisting of an absorbed power law in the high state and the absorbed black body in the low state.
Current usage metrics show cumulative count of Article Views (full-text article views including HTML views, PDF and ePub downloads, according to the available data) and Abstracts Views on Vision4Press platform.
Data correspond to usage on the plateform after 2015. The current usage metrics is available 48-96 hours after online publication and is updated daily on week days.
Initial download of the metrics may take a while.