Free Access
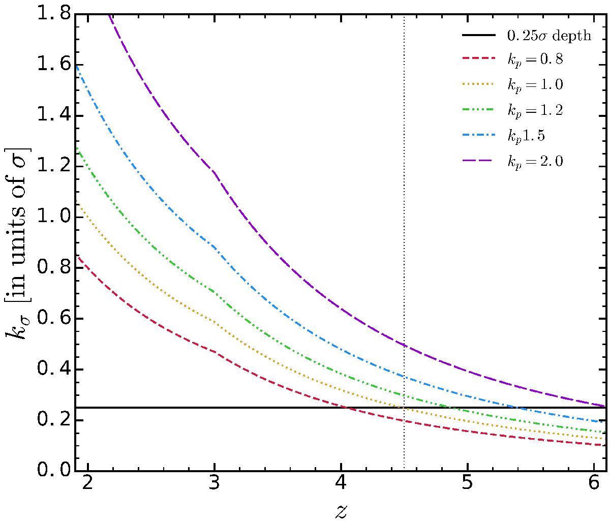
Fig. 10

Value of k as a function of redshift for different choices of kp. The vertical dotted line shoes the upper redshift limit we assume in this paper. The black solid line shows the depth limit above which the noise correction is larger than 100 pixels.
Current usage metrics show cumulative count of Article Views (full-text article views including HTML views, PDF and ePub downloads, according to the available data) and Abstracts Views on Vision4Press platform.
Data correspond to usage on the plateform after 2015. The current usage metrics is available 48-96 hours after online publication and is updated daily on week days.
Initial download of the metrics may take a while.