Free Access
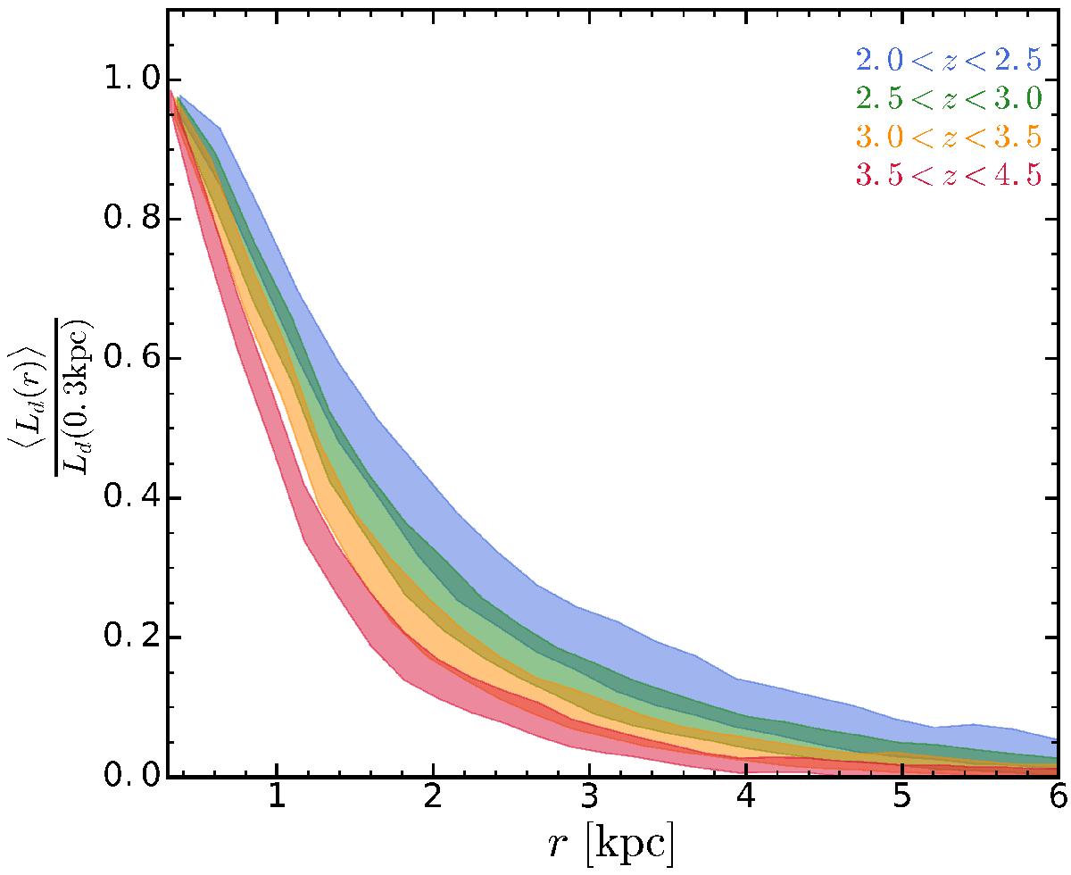
Fig. 17

Normalized surface luminosity profiles of the median stacked F814W band images of galaxies in our sample at four different redshift bins (normalized at r = 0.3 kpc). The width of each profile encodes the surface luminosity error. This profile comparison shows the increased light concentration at higher redshifts.
Current usage metrics show cumulative count of Article Views (full-text article views including HTML views, PDF and ePub downloads, according to the available data) and Abstracts Views on Vision4Press platform.
Data correspond to usage on the plateform after 2015. The current usage metrics is available 48-96 hours after online publication and is updated daily on week days.
Initial download of the metrics may take a while.