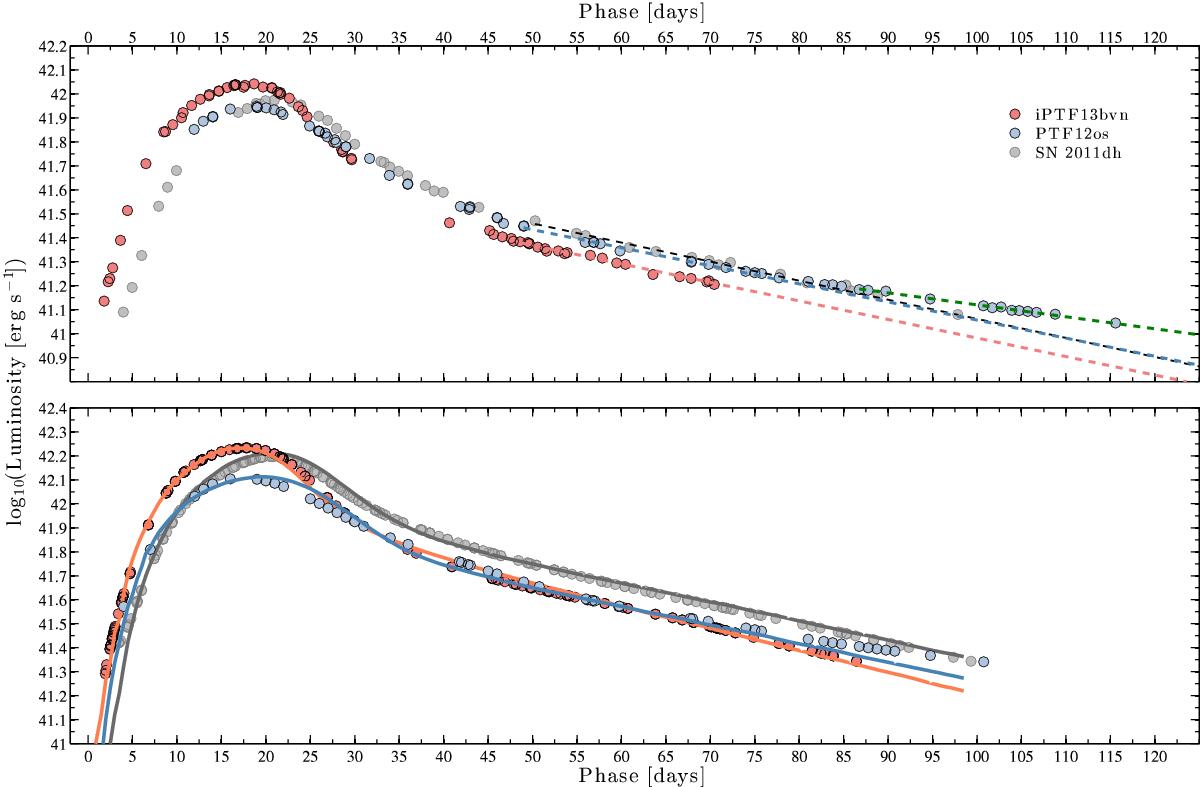
Fig. 10

Bolometric light curves of iPTF13bvn (red circles), SN 2011dh (gray circles), and PTF12os (light-blue circles). The top panel shows quasibolometric Bgriz LCs calculated as described in Sect. 6. In the top panel we also show linear fits to the LC points between +53 d and +75 d for the three SNe (dashed lines, PTF12os in blue, iPTF13bvn in red and SN 2011dh in black). For PTF12os an additional fit to the LC points after +85 d is shown as a green dashed line, which clearly exhibits a slower decline. The bottom panel, following the same color scheme as in the top panel, illustrates the bolometric LCs of the SNe, with corrections for the UV and IR contributions based on observations of SN 2011dh applied to PTF12os and iPTF13bvn. The bottom panel also shows our best-fitting hydrodynamical models for each SN as solid lines of matching color.
Current usage metrics show cumulative count of Article Views (full-text article views including HTML views, PDF and ePub downloads, according to the available data) and Abstracts Views on Vision4Press platform.
Data correspond to usage on the plateform after 2015. The current usage metrics is available 48-96 hours after online publication and is updated daily on week days.
Initial download of the metrics may take a while.