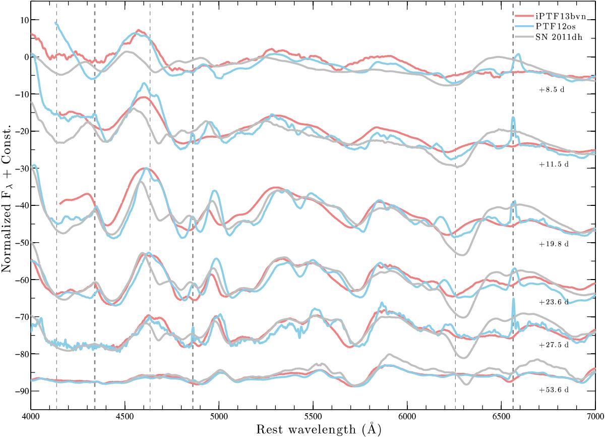
Fig. 11

Spectral comparison of PTF12os (blue), iPTF13bvn (red), and SN 2011dh (gray). The spectra have been normalized using the median and shifted by a constant for each epoch. The thick dashed lines show the rest wavelength of Hα, Hβ, and Hγ, and the thin dashed lines mark the corresponding wavelengths shifted by 14 000 km s-1, which coincides very well with absorption minima in the spectra of PTF12os for all three lines. The spectra have been smoothed to improve their visibility. The date labels refer to the date of the spectral observations of PTF12os for each epoch. The spectra of the other SNe have been chosen as close as possible to these epochs.
Current usage metrics show cumulative count of Article Views (full-text article views including HTML views, PDF and ePub downloads, according to the available data) and Abstracts Views on Vision4Press platform.
Data correspond to usage on the plateform after 2015. The current usage metrics is available 48-96 hours after online publication and is updated daily on week days.
Initial download of the metrics may take a while.