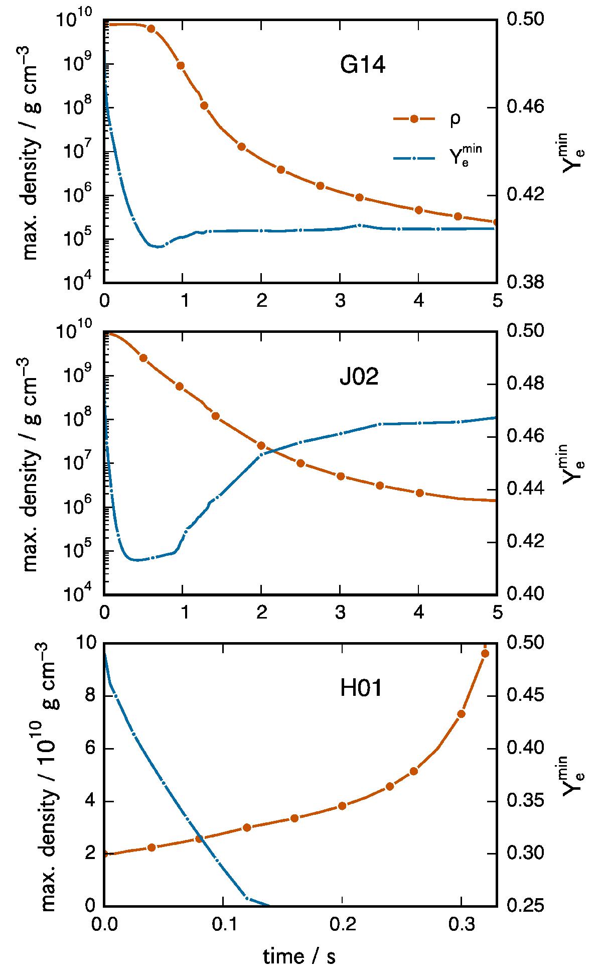
Fig. 2

Maximum density and minimum electron fraction Ye in the simulations G14, J02 and H01 (see Table 1). In the G and J simulations ( and 9.95), respectively, the maximum density drops by several orders of magnitude in the first 5 s despite the marked decrease in the minimum Ye, leading to the partial disruption of the core and the formation of an ONeFe white dwarf that does not collapse to form a neutron star. In the H01 simulation (
), the maximum density only increases with time, reaching 1011 g cm-3 in the first ~330 ms. The simulation was not continued beyond this point because neutrino interactions with matter were not included in the microphysics, however the most likely outcome is collapse into a neutron star.
Current usage metrics show cumulative count of Article Views (full-text article views including HTML views, PDF and ePub downloads, according to the available data) and Abstracts Views on Vision4Press platform.
Data correspond to usage on the plateform after 2015. The current usage metrics is available 48-96 hours after online publication and is updated daily on week days.
Initial download of the metrics may take a while.