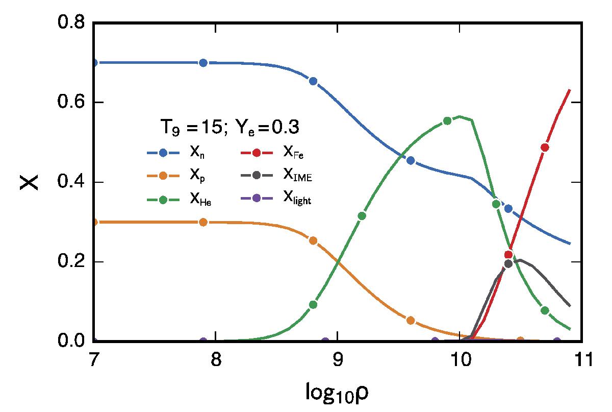
Fig. 3

NSE composition as a function of density for the conditions encountered in the simulations with the highest ignition densities (2 × 1010 g cm-3; T = 1.5 × 1010 K and Ye = 0.3). Fe denotes elements with Z ≥ 24 and IME the intermediate-mass elements with 13 ≤ Z< 24. The residual is the light elements excluding p, n and α-particles.
Current usage metrics show cumulative count of Article Views (full-text article views including HTML views, PDF and ePub downloads, according to the available data) and Abstracts Views on Vision4Press platform.
Data correspond to usage on the plateform after 2015. The current usage metrics is available 48-96 hours after online publication and is updated daily on week days.
Initial download of the metrics may take a while.