Fig. 4

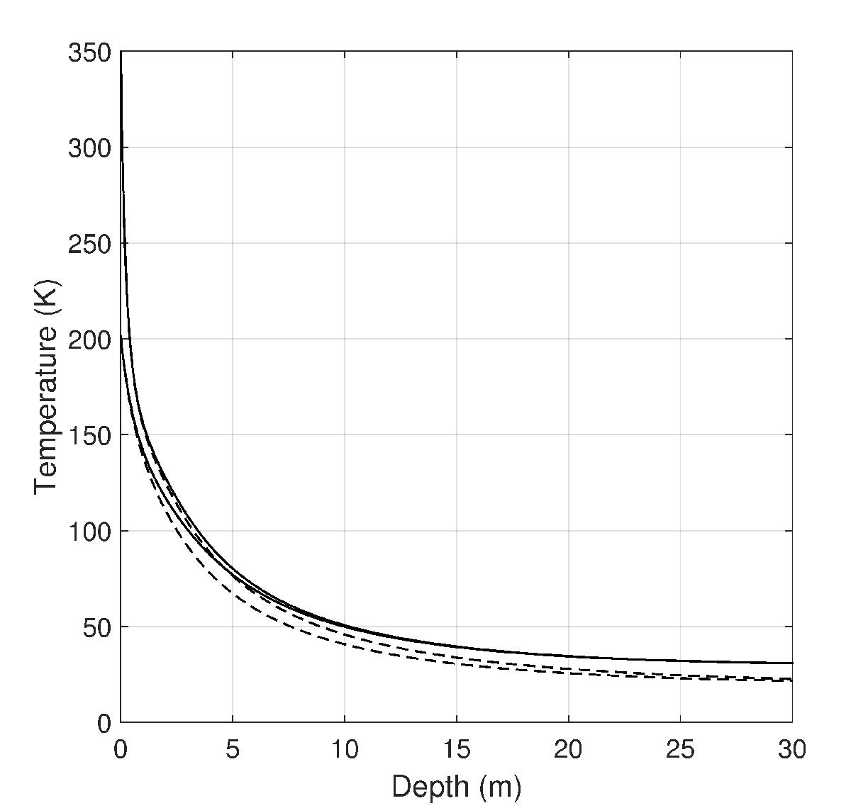
Temperature as a function of cometary depth for the orbital position corresponding to early August 2015. A slow rotator approach is applied for Model A (surface temperatures close to 350 K) and for Model B (surface temperatures close to 200 K). Two primordial temperature values are tested: 20 K (dashed) and 30 K (solid). See Sect. 3.2 for a detailed description.
Current usage metrics show cumulative count of Article Views (full-text article views including HTML views, PDF and ePub downloads, according to the available data) and Abstracts Views on Vision4Press platform.
Data correspond to usage on the plateform after 2015. The current usage metrics is available 48-96 hours after online publication and is updated daily on week days.
Initial download of the metrics may take a while.