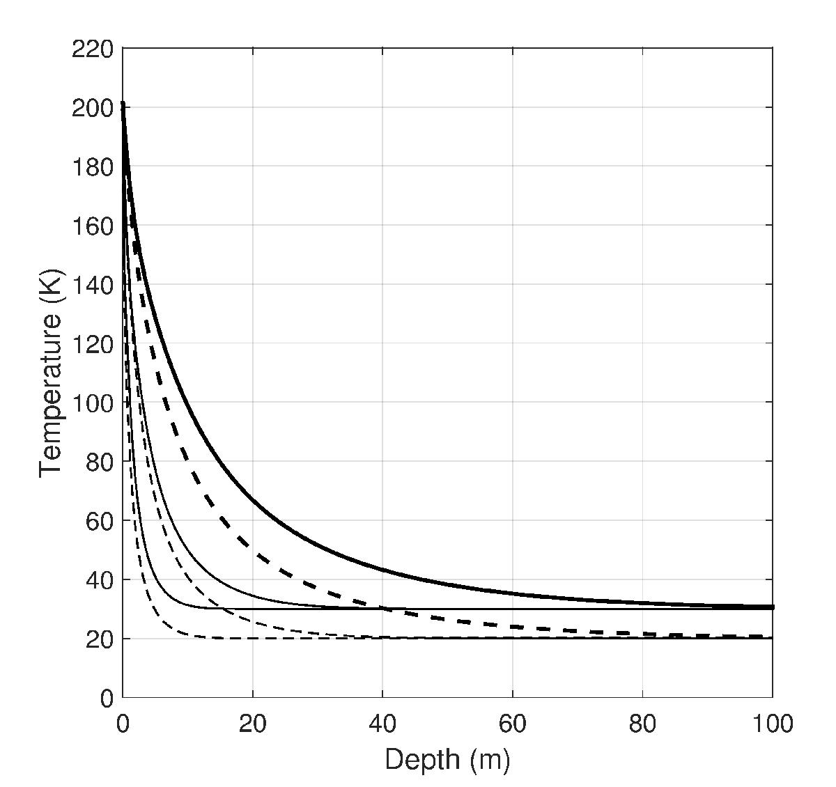
Fig. 5

Temperature as a function of cometary depth for the orbital position corresponding to early August 2015. The Model B slow rotator at two primordial temperatures is tested: 20 K (dashed lines) and 30 K (solid lines). Results are shown for three thermal inertia values 10 (thin), 30 (normal), and 90 J m-2 K-1 s0.5 (bold) lines. Generally, the higher the thermal inertia the deeper the orbital heat wave penetrates (see Sect. 3.2 for further description).
Current usage metrics show cumulative count of Article Views (full-text article views including HTML views, PDF and ePub downloads, according to the available data) and Abstracts Views on Vision4Press platform.
Data correspond to usage on the plateform after 2015. The current usage metrics is available 48-96 hours after online publication and is updated daily on week days.
Initial download of the metrics may take a while.