Free Access
Fig. 8

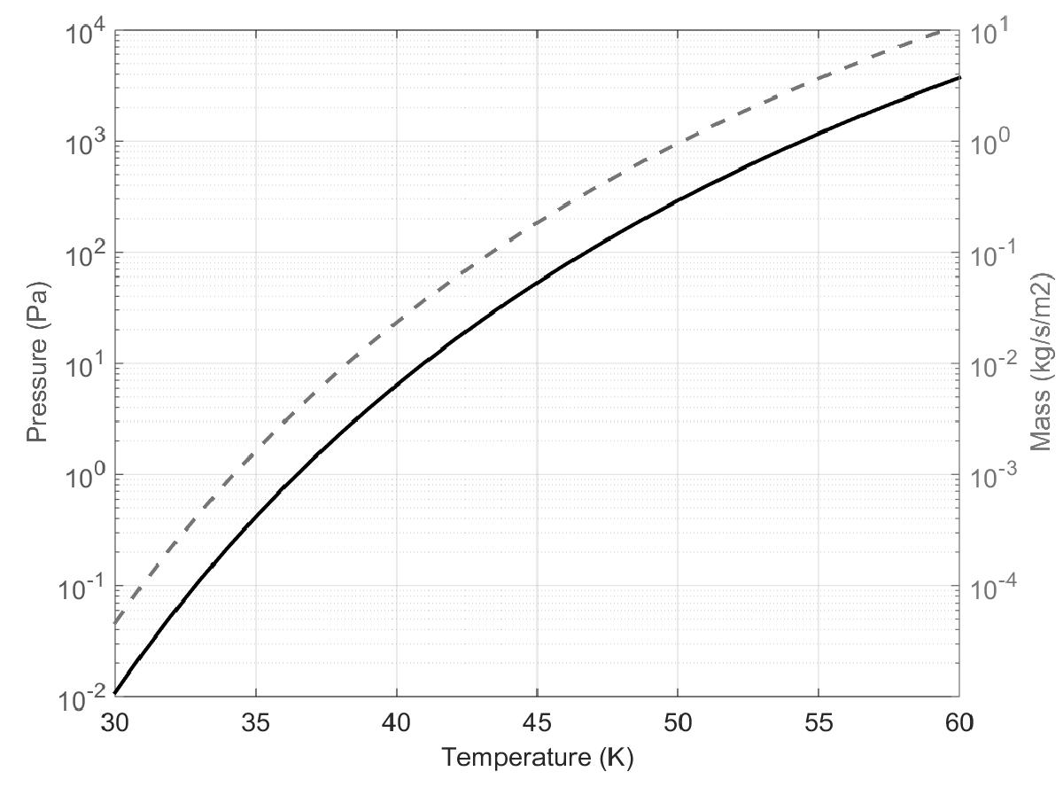
CO saturation vapor pressure (left y-axis scale, solid line) as a function of temperature. The corresponding mass loss rate is shown on the right y-axis scale (dashed line).
Current usage metrics show cumulative count of Article Views (full-text article views including HTML views, PDF and ePub downloads, according to the available data) and Abstracts Views on Vision4Press platform.
Data correspond to usage on the plateform after 2015. The current usage metrics is available 48-96 hours after online publication and is updated daily on week days.
Initial download of the metrics may take a while.