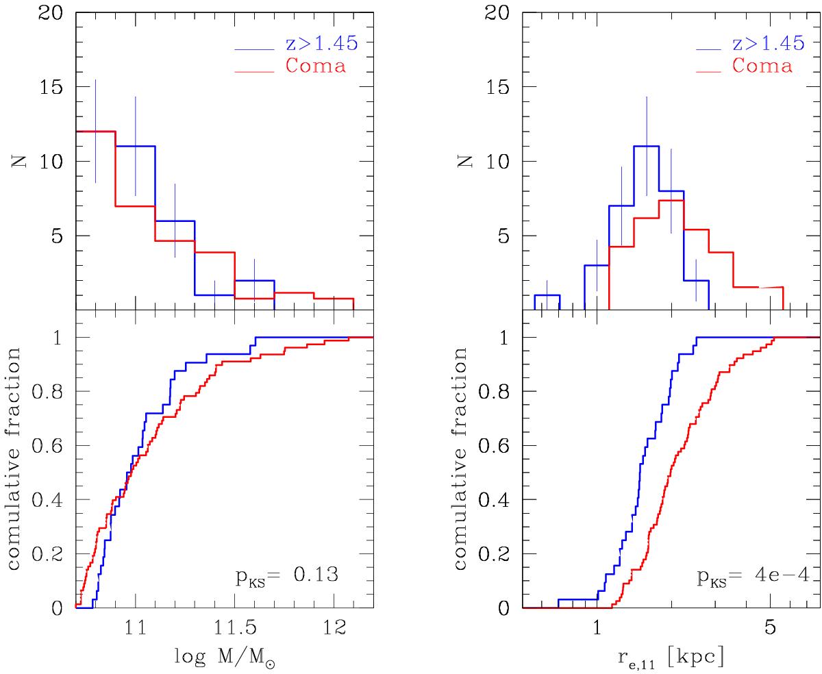
Fig. 11

Mass distribution (left) and size distribution (right) of log M/M⊙> 10.7 galaxies of high-redshift (blue) or Coma (red) cluster galaxies. Sizes are not corrected for PSF blurring effects. To account for the different richness of compared samples, we matched the number of galaxies with masses in the lowest mass bin. The outlier with smallest effective radius reduced to log M/M⊙ = 11 is the peculiar BCG of the z = 1.63 cluster.
Current usage metrics show cumulative count of Article Views (full-text article views including HTML views, PDF and ePub downloads, according to the available data) and Abstracts Views on Vision4Press platform.
Data correspond to usage on the plateform after 2015. The current usage metrics is available 48-96 hours after online publication and is updated daily on week days.
Initial download of the metrics may take a while.