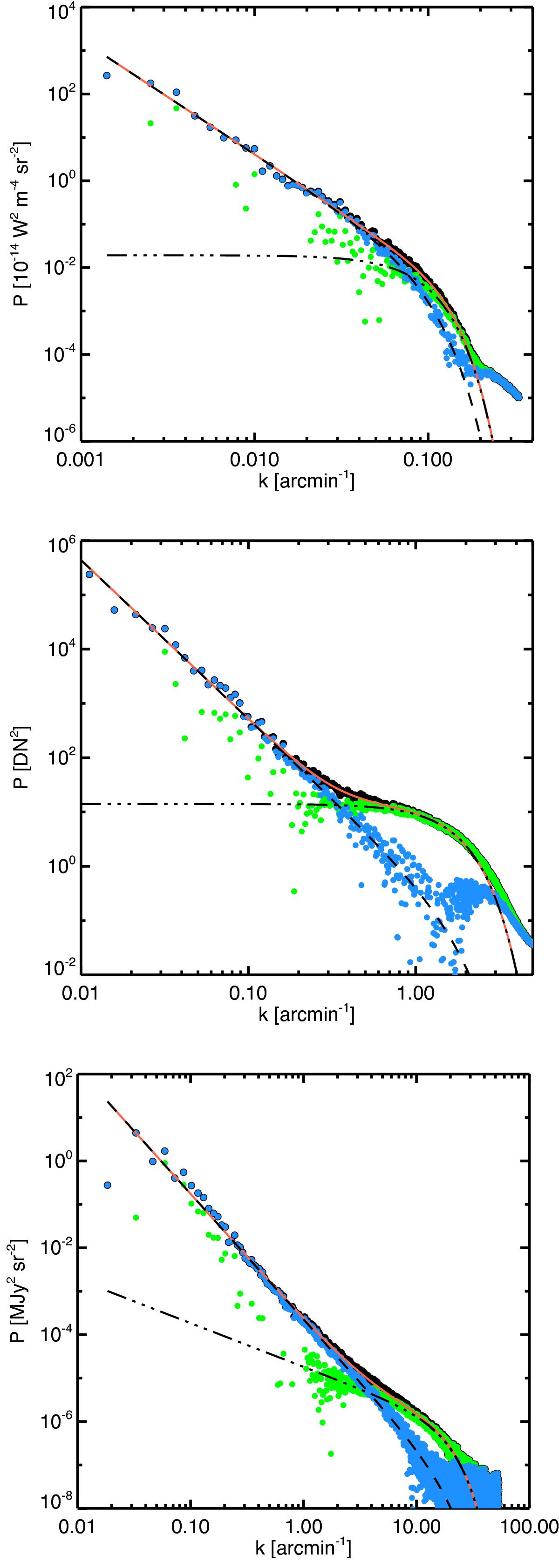
Fig. 2

Power spectrum model of the individual maps: Planck (top), WISE (middle) and MegaCam (bottom). The power spectrum is given by the black dots. The global fit is the red curve. The blue points represent the cirrus component (P(k) − B(k) × Ckβ) while the green dots represent the noise component (P(k) − B(k) × Akγ). The dashed and dash-dotted curves are the results of the fit for the cirrus and noise terms respectively. The slope of the dust emission power spectrum is γ = −2.7 ± 0.1, γ = −2.9 ± 0.1 and γ = −2.9 ± 0.1 for Planck, WISE and MegaCam, respectively.
Current usage metrics show cumulative count of Article Views (full-text article views including HTML views, PDF and ePub downloads, according to the available data) and Abstracts Views on Vision4Press platform.
Data correspond to usage on the plateform after 2015. The current usage metrics is available 48-96 hours after online publication and is updated daily on week days.
Initial download of the metrics may take a while.