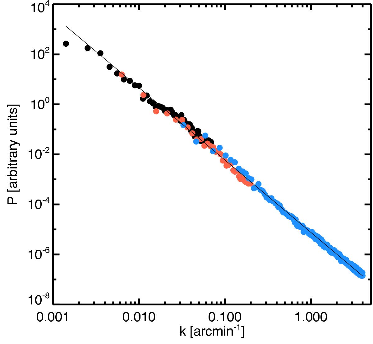
Fig. 3

Combined power spectrum showing the three P(k): black is Planck radiance, red is WISE and blue is MegaCam. The units of the y axis are arbitrary; each P(k) was scaled in order to match the others. For each P(k), we show data points corresponding to scales larger than the beam and where the power is above the noise component. The data points shown here are noise subtracted and divided by the beam function. The best fit gives P(k) ∝ k− 2.9 ± 0.1.
Current usage metrics show cumulative count of Article Views (full-text article views including HTML views, PDF and ePub downloads, according to the available data) and Abstracts Views on Vision4Press platform.
Data correspond to usage on the plateform after 2015. The current usage metrics is available 48-96 hours after online publication and is updated daily on week days.
Initial download of the metrics may take a while.