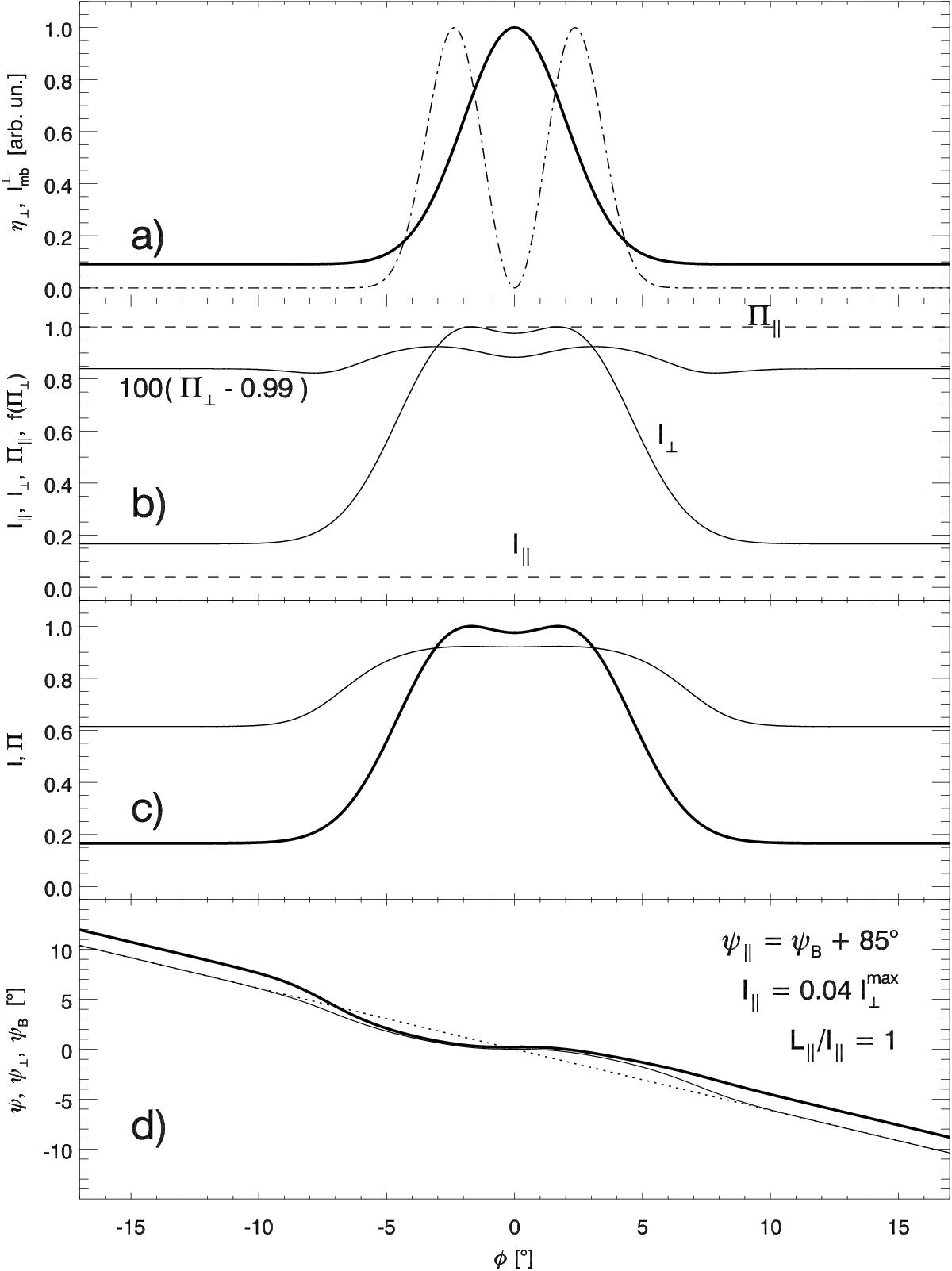
Fig. 15

Modelled polarisation of a bright narrow component projecting from an isotropic background emission. The PA curve exhibits a flattening under the component (panel d)), caused by the fixed PA attributed to the microbeam. A small uniform contribution of the O-mode () produces the off-centred, one-directional distortion of PA (thick line in d). Used parameters: ψ∥ = ψB + 85°, ρcrv = 5 × 104 cm.
Current usage metrics show cumulative count of Article Views (full-text article views including HTML views, PDF and ePub downloads, according to the available data) and Abstracts Views on Vision4Press platform.
Data correspond to usage on the plateform after 2015. The current usage metrics is available 48-96 hours after online publication and is updated daily on week days.
Initial download of the metrics may take a while.