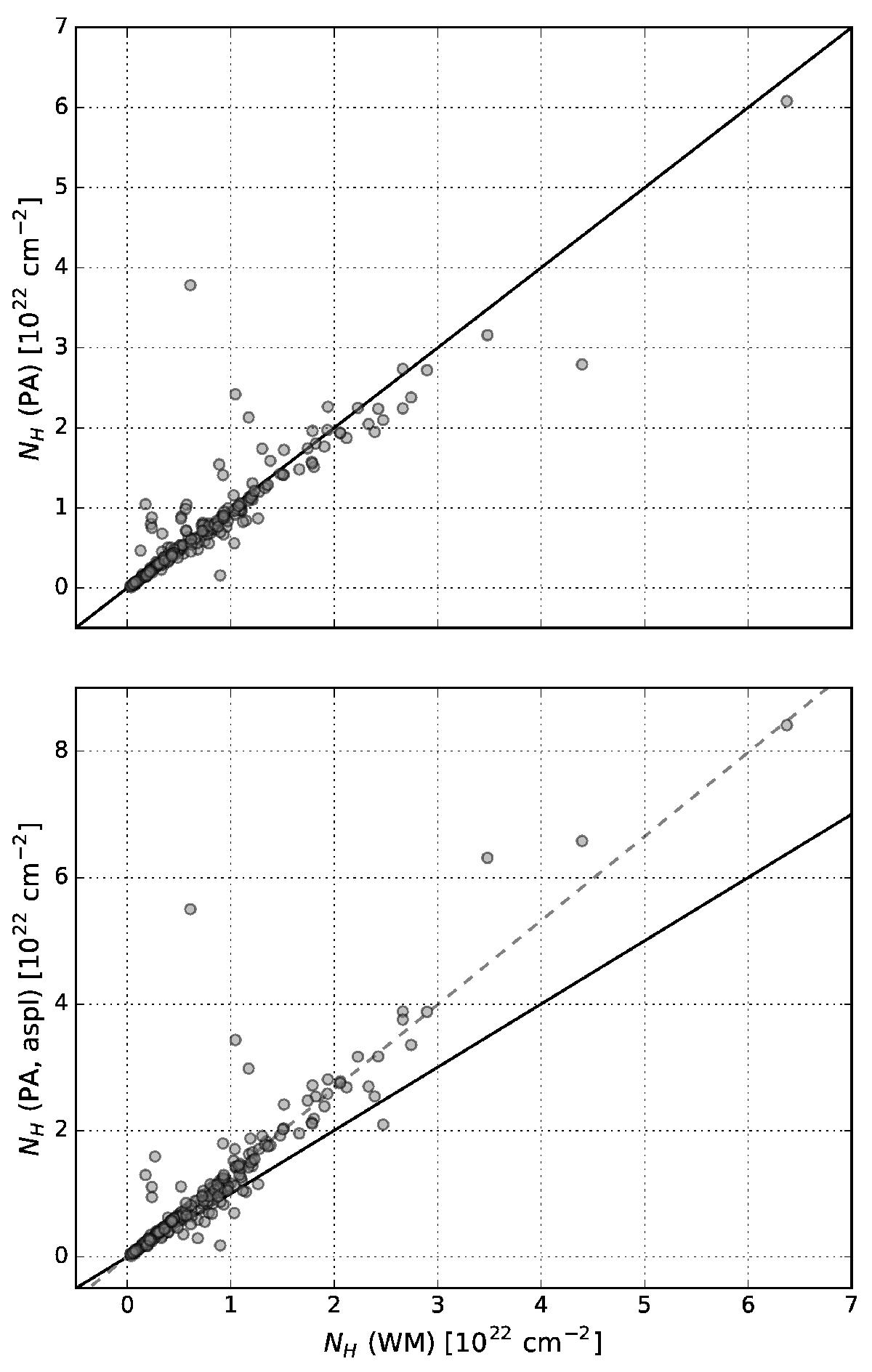
Fig. 7

Equivalent hydrogen column densities calculated using Phabs and APEC (PA) versus Wabs and MEKAL (WM) models. Solid lines indicate equality. Upper panel: for both PA and WM, abundances by Anders & Grevesse (1989) are adopted. Lower panel: for PA, abundances by Asplund et al. (2009) are adopted, and for WM by Anders & Grevesse (1989). The dashed grey line is intended as a guide to the eye and corresponds to 1.33·NH (WM).
Current usage metrics show cumulative count of Article Views (full-text article views including HTML views, PDF and ePub downloads, according to the available data) and Abstracts Views on Vision4Press platform.
Data correspond to usage on the plateform after 2015. The current usage metrics is available 48-96 hours after online publication and is updated daily on week days.
Initial download of the metrics may take a while.