Free Access
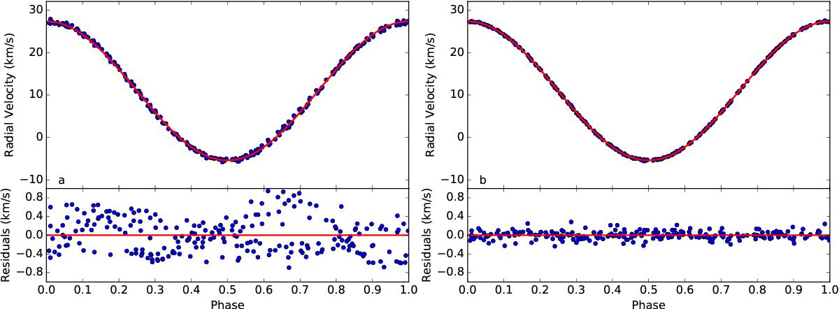
Fig. 2

a) Radial velocities (dots) before spot correction and the representation of the orbital fit (line). The bottom panel shows the residuals. b) Spot-corrected radial velocities and the final fit for the orbital elements. The rms of the fit decreased by a factor four with respect to the uncorrected velocities.
This figure is made of several images, please see below:
Current usage metrics show cumulative count of Article Views (full-text article views including HTML views, PDF and ePub downloads, according to the available data) and Abstracts Views on Vision4Press platform.
Data correspond to usage on the plateform after 2015. The current usage metrics is available 48-96 hours after online publication and is updated daily on week days.
Initial download of the metrics may take a while.