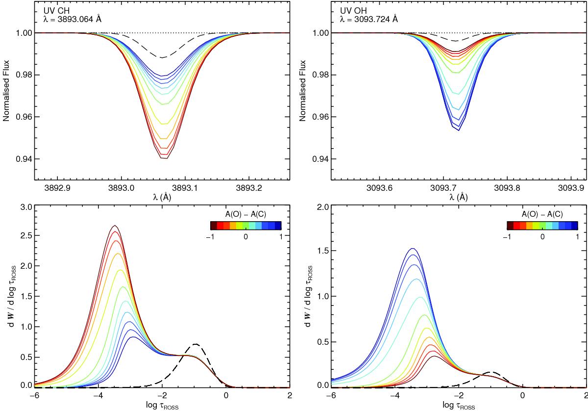
Fig. A.2

Left panels: CH line (top) computed in full 3D (solid colours) and 1D (black dashed line) and the corresponding equivalent width contribution functions (bottom). Right panels: an OH line (top) computed in full 3D (solid colours) and 1D (black dashed line) and the corresponding equivalent width contribution functions (bottom). The abundances and C/O ratios of these lines are identical to those given in Fig. A.1.
Current usage metrics show cumulative count of Article Views (full-text article views including HTML views, PDF and ePub downloads, according to the available data) and Abstracts Views on Vision4Press platform.
Data correspond to usage on the plateform after 2015. The current usage metrics is available 48-96 hours after online publication and is updated daily on week days.
Initial download of the metrics may take a while.