Free Access
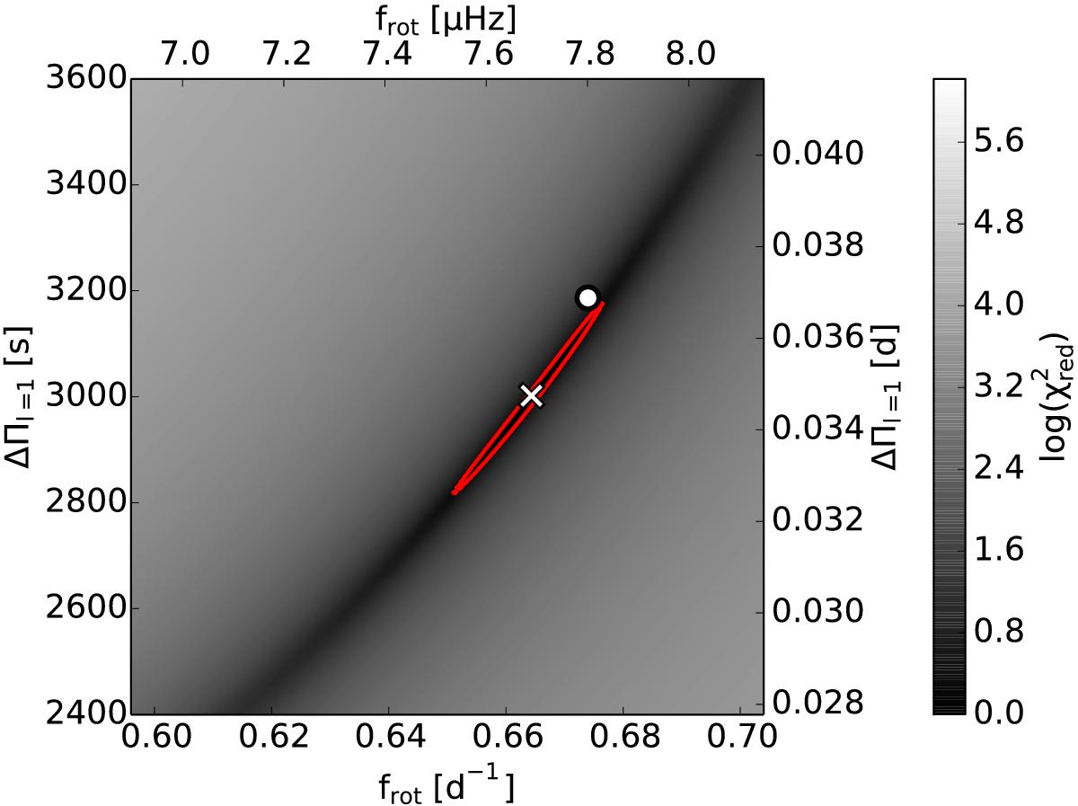
Fig. 6

for the simulated period spacing series assuming l = 1 as a function of the asymptotic period spacing ΔΠl and the rotation rate frot. The white dot indicates the input values, while the white cross and the red boundary indicate the solution and its 1σ-uncertainty margins, respectively.
Current usage metrics show cumulative count of Article Views (full-text article views including HTML views, PDF and ePub downloads, according to the available data) and Abstracts Views on Vision4Press platform.
Data correspond to usage on the plateform after 2015. The current usage metrics is available 48-96 hours after online publication and is updated daily on week days.
Initial download of the metrics may take a while.