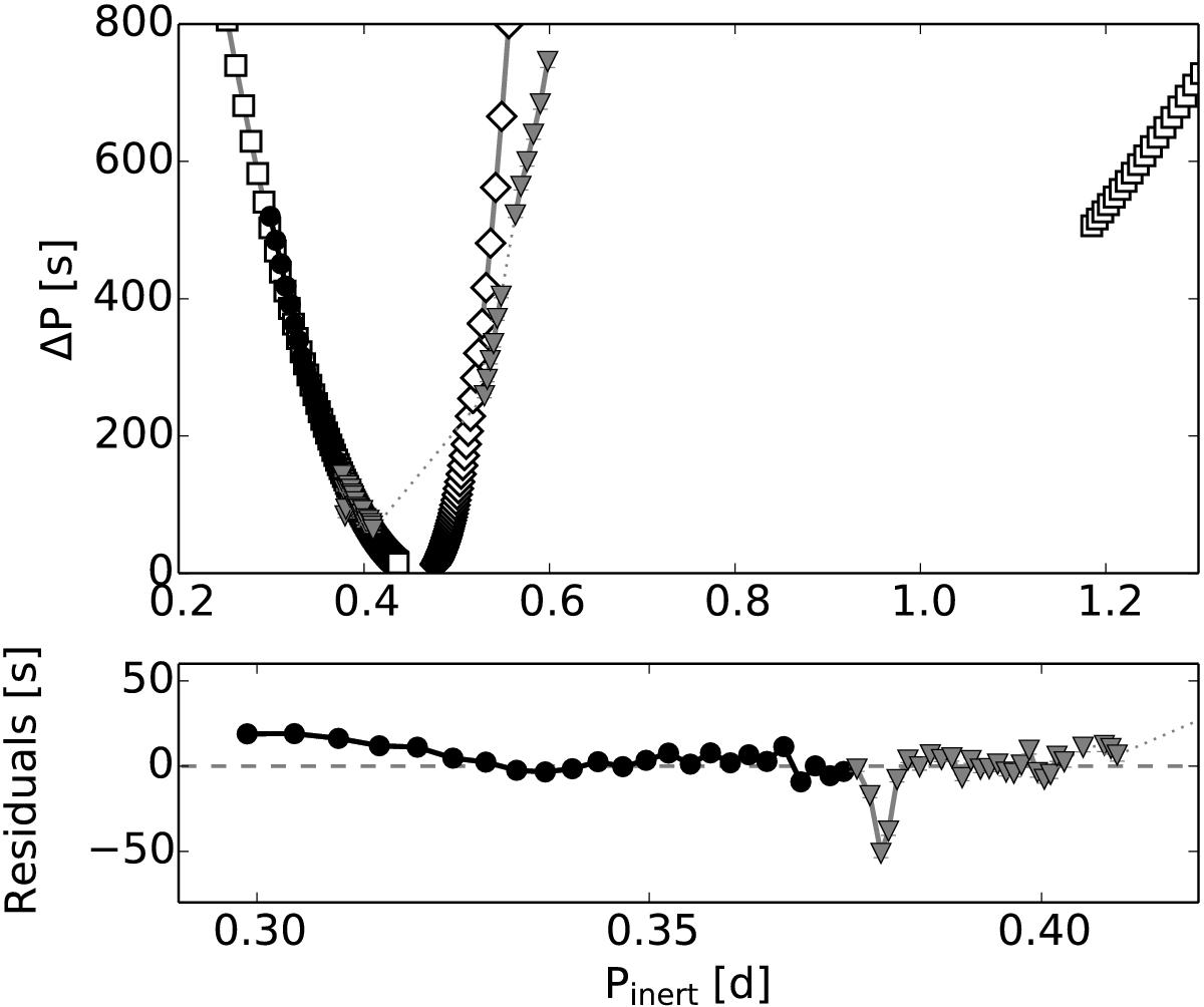
Fig. 9

Top: observed period spacing patterns (black dots and grey triangles) for the prograde (left) and retrograde (right) modes of KIC 12066947. The black part of the pattern was used to determine frot and ΔΠl, while the grey section was excluded. The white squares indicate the model fit, assuming these are gravito-inertial modes and using the frot and ΔΠl values obtained from the analysis of the marked prograde series. The white diamonds indicate the model computed for Rossby waves using the same frot and ΔΠl values, assuming m = −1 and k = −2 in the k-based indexing scheme by Lee & Saio (1997). Bottom: the residuals of the fit to the prograde period spacing series.
Current usage metrics show cumulative count of Article Views (full-text article views including HTML views, PDF and ePub downloads, according to the available data) and Abstracts Views on Vision4Press platform.
Data correspond to usage on the plateform after 2015. The current usage metrics is available 48-96 hours after online publication and is updated daily on week days.
Initial download of the metrics may take a while.