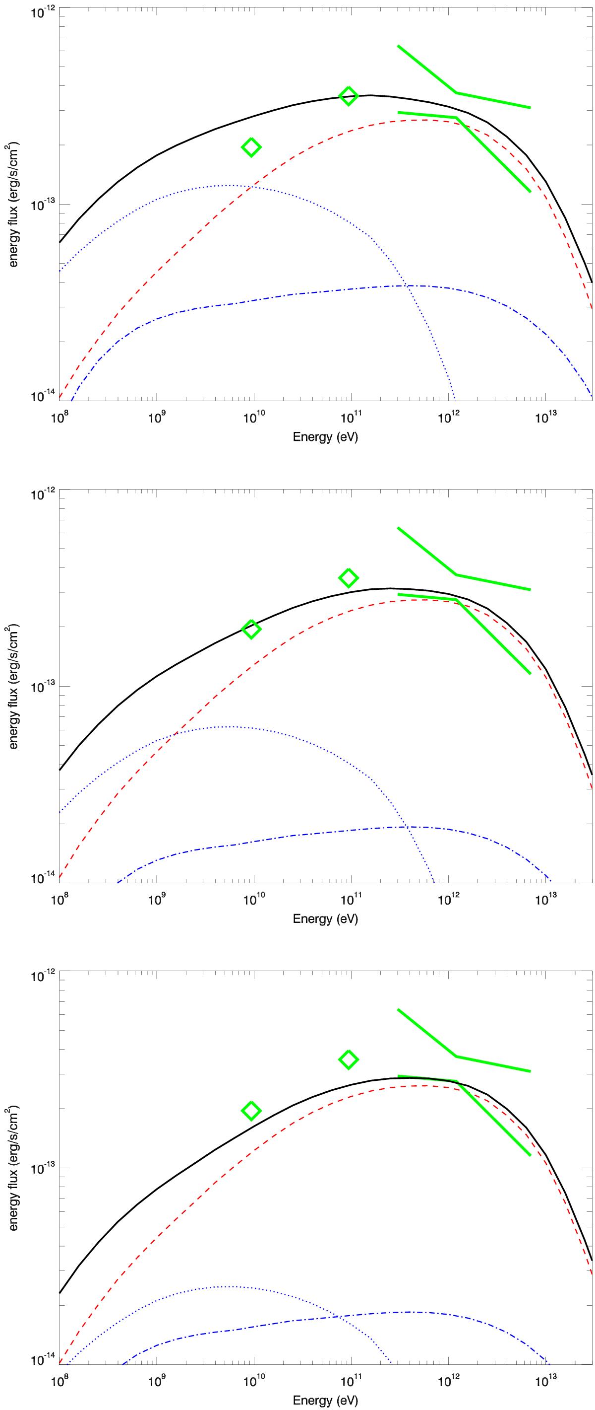
Fig. 6

Upper panel: synthetic γ-ray emission of the southwestern limb of SN 1006 obtained from RUN2_UN by assuming a total hadronic energy erg (black solid line). The inverse Compton contribution (dashed red line) and the hadronic contribution of the shocked cloud (dotted blue line) and of the shocked ISM (dash-dotted blue line) are highlighted. The γ-ray spectrum observed with HESS is shown in green (southwestern limb only, Acero et al. 2010), and the Fermi − LAT upper limits (at the 95% confidence level) for the southwestern limb are indicated by the green diamonds (Acero et al. 2015). Central panel: same as upper panel with
erg. Lower panel: same as upper panel with
erg.
Current usage metrics show cumulative count of Article Views (full-text article views including HTML views, PDF and ePub downloads, according to the available data) and Abstracts Views on Vision4Press platform.
Data correspond to usage on the plateform after 2015. The current usage metrics is available 48-96 hours after online publication and is updated daily on week days.
Initial download of the metrics may take a while.